话本小说网 > 同人小说 > 小说法宝不限章节
本书标签: 小说同人  不限正文章节  克苏鲁神话     

曲速《星际迷航》中用于太空旅行的方法

小说法宝不限章节

无题

无题曲速 《星际迷航》中用于太空旅行的方法 科普中国本词条由“科普中国”科学百科词条编写与应用工作项目审核 审阅专家 郎奠波 其他贡献者 源自美国科幻片《Star Trek》,中文《星际迷航》中的一种科技。是《星际迷航》中被广泛用于太空旅行的一种方法。在曲速状态下可以实现超光速飞行[1]。 曲速旅行(warp travel)是一种通过在压缩时空中航行的技术,其原理就是在运动物体周围利用反物质驱动的曲速引擎制造一个人工的曲力场(warp field),从而使物体能在这个扭曲的时空泡(warp bubble)中以若干倍于光速的速度移动。曲速(warp)就是衡量在这个时空泡里运动的物体的速度。 中文名 曲速 外文名 warp 应用 这一科技当前仅存在于理论 性质 一种衡量速度的单位 出处 《星际迷航》 单位 层级

无题曲速简介 分类 曲速 根据时空扭曲(或者说压缩)的程度,曲速分为0-10。其中曲速10在理论上是达不到的,因为以曲速10运动的物体就意味着在任何时间在任何地点都出现,而即便在科幻作品中也还没有发明一种能达到曲速10的曲速引擎(warp drive)。而曲速2已经超过光速了,曲速9的飞船能在26秒内飞跃一个太阳系的距离。《星际迷航:航海家号》系列中星联最快的星舰能达到曲速9.99。 曲速(Warp)与曲速引擎(Warp drive)。 曲速(Warp)与曲速引擎(Warp drive)有二重涵义,皆关于超光速航行。原先出现科领域中的星际迷航(Star Trek)之中,后来也涉及到理论物理的一种时空模型。 曲速引擎飞船 曲速引擎就是说一个物体前的空间迅速弯曲缩小,物体后的空间迅速弯曲扩大。就像在后面吹气球将物体挤向前,物体在曲速泡内以亚光速航行。不过要使空间弯曲要太阳的10亿倍能量。 发展 虚拟宇宙历史 星际旅行中多个星球都有自己开发出曲速的发展历史;在地球,曲速是泽弗兰·科克伦(Zefram Cochrane)所开发。在电影《星际迷航8:第一次接触》里提到的发明年代是第三次世界大战终战后10年的2063年;但在原始影集《星际迷航:原初系列》里则暗示曲速科技更早些年就已经被使用,虽然证据不明。小说星际奇旅之星际联邦(Star Trek: Federation)则提到2061年寇克瑞恩发明曲速引擎[2]。 曲速引擎飞船运行时的空间扭曲变化 一般普遍接受:以曲速航行的船舰不会感受到任何形式的时间展长;毕竟总体来说,曲速船舰与宇宙间没有资讯交换。若船舰是采用冲量引擎,速度则为次光速(亚光速),会感受到时间展长,因为冲量式驱动的船只仍处在正常时空连续体。也因为这样,多数船只会将冲量速度限制在大约四分之一光速。

无题超曲速引擎 超曲速(transwarp)被多次使用,指的是曲速引擎的高阶形式,常为博格人所使用;但也是一项不成功的星际舰队开发计划的课题,出现在电影石破天惊中。如同欲进入曲速而不会用上无限多的能量,是要在星舰的周遭产生曲速场来突破光速障(在我们的宇宙中是个理论上不可能的事件);相似地,也需要超曲速场来达到非常高的超光速速率(使得船舰能在很短时间内横越银河等级的距离。) 速度 企业号E正在曲速航行原始影集《星际迷航》中,根据金·罗丹贝利(Gene Roddenberry)与他的剧集编剧指引,曲速速率(s)与曲速层级(w)的三次方呈倍数关系:无法解析 (Missing texvc executable; please see math/README to configure.): s(w) = w^3c 。(另有未经证实的说法指出罗丹贝利原本是要将曲速层级的数字简单地对应到光速的倍数,例如曲速9级表示9倍光速(c),而一群早期的影迷在一间旅馆围住他,告诉他这种设定是无法运作的。) 按照这样原则,可以将星际争霸战中不同曲速层级(Warp Factor)所对应的速率列表如下:

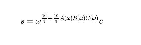
无题曲速层级 几倍光速(c) 大约速度(千米/秒) 曲速1级 1 3.0x10^5 曲速1.5级 3.375 1.0x10^6 曲速2级 8 2.4x10^6 曲速3级 27 8.0x10^6 曲速4级 64 1.9x10^7 曲速5级 125 3.7x10^7 曲速6级 216 6.5x10^7 曲速7级 343 1.0x10^8 曲速8级 512 1.5x10^8 曲速9级 729 2.2x10^8 曲速9.25级 ~791 2.4x10^8 曲速9.5级 ~857 2.6x10^8 曲速9.75级 ~926 2.8x10^8 曲速10级 1,000 3.0x10^8 曲速11级 1,331 4.0x10^8 曲速14.6级 ~3,112 9.3x10^8 曲速15级 3,375 1.0x10^9 收起 然而这样设定仍然无法完整解释整个影集所出现的场合,因为如此企业号航行速度变得过慢,和电视影集中所提的有时相牴触,例如That Which Survives这集中,企业号以曲速8.4级航行了11.33小时,而横越了990.7光年(此段文句为史巴克的台词)。这样计算出来的速率超过600,000倍光速;即使是曲速15级,这样也还超过两个数量级。 新式曲速层级对应的速度表与消耗功率。白色是新式速度;铬黄色是消耗功率;另标有旧式曲速层级对应的速度表,以蓝绿色呈现。在后起的几部影集,奥田以旧制为基础设置了一项公式,但做出了几个重要的改变。For warp 1–9, 若w是曲速层级,s是以公里每秒计量的速率,而c表示光速,则无法解析 (Missing texvc executable; please see math/README to configure.): s(w) = w^{10 \over 3}c . 在曲速9级到曲速10级间的半开放区间,w的指数项快速地增加到无限大。如此,在奥田式尺度中,曲速以渐进线方式趋向曲速10级。这段区间并没有精确公式,因为在这一段所摘录到的速率是根据手绘曲线。然而在1995年,寇克瑞恩曲速力学进展奖(Cochrane Award for Advancements in Warp Mechanics)颁给了一位胜出者,其所提的曲速公式为[1]:

无题

无题

无题其中 利用数学软件所产生来的曲线竟然和原始手绘曲线极度相符。 下方为新式曲速层级(warp factor)和它们以公里每秒为计的大约值,以及几倍光速(c):

无题曲速层级 几倍光速(c) 大约速度(千米/秒) 曲速1级 1 3.0x10^5 曲速2级 10.079 3.0x10^6 曲速3级 38.941 1.2x10^7 曲速4级 101.59 3.0x10^7 曲速5级 213.75 6.4x10^7 曲速6级 392.50 1.2x10^8 曲速7级 656.13 2.0x10^8 曲速8级 1,024 3.1x10^8 曲速9级 1,516.4 4.5x10^8 曲速9.2级 1,649 4.9x10^8 曲速9.6级 1,909 5.7x10^8 曲速9.9级 3,053 9.2x10^8 曲速9.9753级 6,000 1.8x10^9 曲速9.99级 7,912 2.3x10^9 曲速9.9999级 199,516 6.0x10^10

无题收起 曲速层级 几倍光速(c) 横越太阳系 到南门二 横越星区 横越联邦 横越本银河系 到仙女座银河系 曲速1级 1 11小时 4.36年 20年 1,000年 100,000年 2,500,000年 曲速2级 10.079 1小时 6个月 1年 100年 10,000年 200,000年 曲速3级 38.941 17分钟 6周 6个月 25年 2,564年 51,000年 曲速4级 101.59 6.5分钟 18天 2个月 10年 990年 19,800年 曲速5级 213.75 3分钟 8.4天 34天 4.6年 467年 9,345年 曲速6级 392.50 1.7分钟 4.6天 18.6天 2.5年 255年 5,102年 曲速7级 656.13 1分钟 2.8天 11.3天 1.52年 152年 3048年 曲速8级 1,024 38秒 1.7天 7.1天 1年 100年 1,953年 曲速9级 1,516.4 26秒 1.2天 4.8天 8个月 66年 1,319年 曲速9.2级 1,649 24秒 1.1天 4.4天 7个月 61年 1,217年 曲速9.6级 1,909 20.7秒 23小时 3.8天 6个月 53年 1,051年 曲速9.9级 3,053 13秒 14小时 2.4天 3.8个月 33.3年 660年 曲速9.9753级 6,000 6.6秒 7.1小时 1.2天 1.9个月 16.9年 335年 曲速9.99级 7,912 5秒 5.4小时 22小时 1.4个月 12.8年 254年 曲速9.9999级 199,516c 0.2秒 12.8分钟 52分钟 1.6天 6个月 10年

无题理论与科技 要对曲速推进系统有更深入的讨论,通常会参考由里克·史腾巴赫(Rick Sternbach)和麦可·奥田(Michael Okuda)所着的《下一代技术手册》(Star Trek: The Next Generation Technical Manual)第五章「曲速推进系统」,其中提到几项主题: 曲速场理论与应用,包括了曲速测量、速度,以及限制。 物质-反物质反应组,包括了反应物喷射器、磁性约束节、反应腔,双锂水晶(戴立辛水晶)的角色,以及能源传输导管。 曲速场机舱,包括了电浆喷射系统、曲速场线圈,以及曲速推进效应。 反物质储存与输送、曲速推进系统燃料供应、巴萨冲压喷射机的燃料补给,以及船上反物质生成。 轮机室操作与安全、紧急关闭流程,以及灾变发生流程。 然而需注意的,影集常常有与《下一代技术手册》或《深空九号技术手册》矛盾的地方。 连续体扭曲推进(continuum distortion propulsion)的精髓在于产生包复船舰的曲速场。利用来自物质/反物质反应产生出的高能电浆,以其对曲速机舱的子空间线圈充能,可以产生出曲速场。

无题弹射效应 在星际奇旅全部系列中,曲速航行的一项副作用是弹射效应(Slingshot effect)。在星际争霸战最初几个剧集中的"Tomorrow is Yesterday"这集内容中,企业号发生意外而首次发现这项效应,成了利用曲速引擎做时光旅行的方法。虽然实际程序的设定故意保留模糊化,但大体上它涉及了以高曲速向恒星航行(设定于第四部电影《抢救未来》,大概速度超过曲速9.8级),轨迹设定在精确计算的弹射路径。若成功,则旅行至过去或未来都是被允许的。相同的技术随后于剧集Assignment Earth中被故意使用,目的是进行历史研究;其中此技术被命名为「光速脱离级数」(light speed breakaway factor)。而在电影《抢救未来》中又被用上;其中此技术被称为「时间翘曲」(time warp)。这项技术在《下一代》剧集"Time Squared"中被提及是一种可行的时间旅行方法。

无题环境影响 在《下一代》第七季剧集"Force of Nature"中,曲速航行对子空间有不利影响,且在一些区域,频繁使用航线的路径上可能会造成子空间裂缝。因此在此之后的剧集,超过曲速5级的航行被禁止,然而在影迷社群中有过争论,讨论到这项禁令是只针对受影响区域而设,或者是全区的禁令。如果这是全区的限制,那在之后的剧集与系列影集则被广泛地忽略,也鲜少提及。然而,曾有这么一例,在《下一代》一集中,皮卡德舰长下令以高于曲速5级的速度航行,而有人提醒他这项禁令。一些影迷臆测已有技术解决方案被发现,并可能用到了联邦星舰航海家号的曲速引擎上头。这点由星际奇旅官方网站的图文库所证实,其中解释了航海家号设计上可以高于曲速5级的速度航行而不会造成子空间破坏,比如空间裂缝。元首级星舰企业号-E也配有进阶曲速动力引擎,允许相当高的曲速航行而不破坏空间结构。

无题四度空间模型 何谓子空间 以爱因斯坦所提到的 "四度空间" 模型,我们所身处的三度宇宙空间亦会向第四度(时间轴)弯曲,一如二度空间的平面向三度空间弯曲,而形成一个球形。(事实上说 "四度时空" 会比 "四度空间" 恰当, 但大家都说习惯 "四度空间" 了, 下面也就不改口了) 把我们所身处的宇宙想象成这样的一颗球,只差是向时间轴弯曲而不是向 z 轴弯曲。 我们所处的空间即是球体的最表面,而从表面往球中心点算进去,就是所谓的子空间。 事实上,除了利用子空间场外,一些高密度的星体周围的重力场也会将星体压向宇宙中心点(宇宙模型球体中心),也不是很稀奇。只要想象一个物体同时存在于宇宙球体的最外围的真实空间与所交互作用的子空间带即可[3]。

无题进入子空间 在 StarTrek 里,曲速航行应该是利用子空场。借由这个子空间场与子空间相互作用,让时间轴倾斜的情形在子空间上并不会造成与行进方向相平行的不合理现象,借此突破光速。而当 subspace field 强度越强,所作用的子空间也就越接近四度空间球形模型中的宇宙中心,此时以subspace field 在靠近宇宙中心点子空间移动一定的距离,投影至真实空间上的 starship 速度当然就遽增。所以才会有曲速每跳一级,starship 的速度就呈 "指数倍" 跳升的现象吧。当物体以曲速航行时, 还是在真实空间上, 并无所谓 "物质" 存在于子空间的说法。所谓的子空间力场,是作用于子空间作用的。并不是说船因此而 "进入" 子空间。而是将整艘船被包在 "子空间" 移动的作用范围内。一个球状的四度空间的球型宇宙模型上, 足可解释这个现象。

无题

无题曲速航行 光速限制 其实有关于真实世界的物体无法超过光速的看法是爱因斯坦出生时的那个年代人的想法。起因于有人发现到一个非常难解的现象: "无论光源运动的速度为何,所测到的光速值都是一致的。" 这是实验的结果,而不是有人事先提出解释这件事。只是这个实验结果太过于诡异,使得解释它的人众说纷纭。 其中劳伦兹所提出的理论(事实上类似的理论也不是他先提出来的,更早提出理论的人反而因为是无名小卒而乏人理会)这个理论便是: "所有物体都会沿着运动方向缩小自身的距离,使得测到的光速值维持一致。" 并写下了劳伦兹转换式,可以精确计算出何种速度下物体缩小的距离,还有时钟变慢。当然这种说法有点吊诡,也有些无赖。有人的印象认为这就是 "相对论",那实在是差远了。 曲速10级 记得transwarp不是用warp factor来计算的,曲速十级的 >定义是瞬间达到空间中任何一点,也就是"无意义". 只是有一点要说明的是 trans-warp 不等于 warp10。 warp 10 是速度破表(实体同时存在于宇宙球面上的每一点)而 trans-warp 与传统的 warp-device都是让 starship 以曲速航行的装置(或者称之...技术)像 borg 所使用 trans-warp 飙起来,速度就比 starfleet 的 warp 快了二十几倍,但以速度对照表来看,还是在曲速 9.???...上,并没有到 warp 10,也没有 voyager 到 warp 10时发生的那一切。 不过有趣的是,在 TNG 里(enterprise 吸入一个生物内撞毁 1 次後时光倒流六小时的那集)似乎是设定当超越warp 10 後(也就是 warp 11,warp 12...),时间就可以倒流。(那集 Riker 有提到)但 voyager 那集似乎又设定成在 warp 10 时,便已经打破线性时间的限制... (voyager上的船员超速进化与退化,幅度超过数百万年)小弟就不晓得以後 paramount 要如何设定这些关系了。 曲速

无题实践 引擎是否可行 如许多星舰迷所知,许多未来性技术是在星际奇旅中首次被勾画出来,并且后来也被真正的发明,例如折叠式手机、通讯徽章、皮下注射器(hypospray)、精灵刀(机械手臂光子刀),以及目前正在开发中的物品(例如VISOR)。于1996年,美国国家航空暨太空总署(NASA)成立了突破性推进物理计划(Breakthrough Propulsion Physics Program, BPP),其中部分经费支援了曲速引擎方面的推测性工作。这项计划在2002年中止。 思想实验还在理论物理荒芜的前沿漫步前进,时至今日仍未有允许曲速航行且被主流科学接受的体系被拓展出来。一些物理学家提出一种超光速航行的模型,以洛仑兹流形的架构来陈述;这种架构在广义相对论中被用以建立时空模型。然而,相反于平常的误解,这些模型并非爱因斯坦场方程序的解。它们也没有给出如何实做曲速泡(warp bubble)的提示。These models do however show that while it is indeed impossible to go faster than the speed of light, in principle it might be possible to circumvent the problem by suitably "warping" spacetime itself. 其中最广为人知的是阿库别瑞引擎,具有有趣的特质——其用词上与星舰系列术语一致:「曲速层级」是空间(或者说时空更为恰当)翘曲的量度,而不是实际速度。

!!!!!!!!!!!!!!!!!!!!!!!!!!

上一章 氪石DC漫画《超人》系列中的一种假想矿物 小说法宝不限章节最新章节 下一章 相位枪影视剧《星际迷航》系列中的科幻设定