话本小说网 > 同人小说 > 小说法宝不限章节
本书标签: 小说同人  不限正文章节  克苏鲁神话     

海藻糖新型天然糖类

小说法宝不限章节

无题

无题

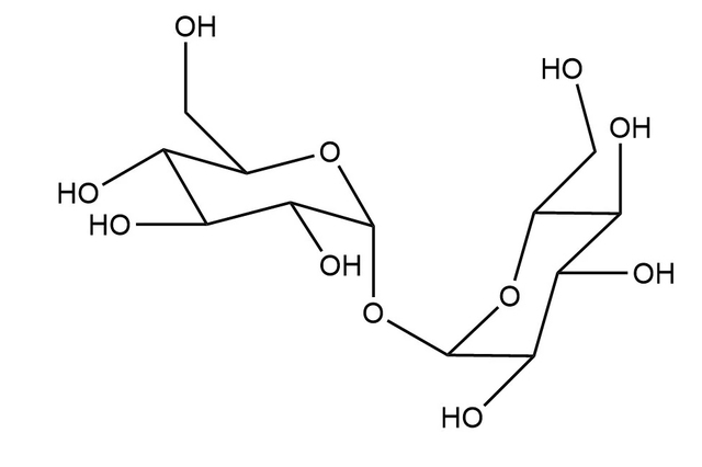
无题海藻糖 新型天然糖类 本词条是多义词,共4个义项 展开 科普中国 | 本词条由“科普中国”科学百科词条编写与应用工作项目审核 审阅专家包申旭 海藻糖又称为漏芦糖、蕈糖,是由两个葡萄糖分子组成的一个非还原性双糖,分子式为C12H22O11[8]。海藻糖结构式为α-D-吡喃葡糖基~α-D-吡喃葡糖苷,经常以二水化合物存在,分子式为C12H22O11·2H2O。[1] 海藻糖是一种典型应激代谢物,能够在高温、高寒、高渗透压及干燥失水等恶劣环境条件下在细胞表面形成独特的保护膜,有效地保护生物分子结构不被破坏,从而维持生命体的生命过程和生物特征。[1] 中文名 海藻糖[2] 外文名 D-Trehalose anhydrous[2] 化学式 C12H22O11[8] 分子量 342.297[8] CAS登录号 99-20-7[2] EINECS登录号 202-739-6[2] 熔点 214 ℃[2] 沸点 397.76 ℃ 水溶性 68.9g/100g水(25℃)[1] 密度 1.512 g/cm3[1]

无题简介 海藻糖有3种光学异构体,分别是α,α-海藻糖(蘑菇糖,Mushroom Sugar)、α,β-海藻糖(新海藻糖,Neotrehalose)和β,β-海藻糖(异海藻糖,Isotrehalose)。其中只有α,α-海藻糖在自然界中以游离状态存在,即为通常所说的海藻糖,广泛存在于各种生物体中,包括细菌、酵母、真菌和藻类以及一些昆虫、无脊椎动物和植物中,尤其在酵母中含量较多,面包和啤酒等发酵食品及虾类等也含有海藻糖。α,β-型和β,β-型在自然界中很少见,仅在蜂蜜和蜂王浆中发现了少量的α,β-型海藻糖,α,β-型和β,β-型这两种海藻糖可以化学合成。[1] 海藻糖为体内有益肠道细菌--双歧杆菌的增殖因子,可改善肠道微生态环境,加强胃肠道消化吸收功能,有效排除体内毒素,增强机体免疫抗病能力,研究还证明海藻糖具有较强的抗辐射作用。[1]

无题特性及功能 1. 稳定性和安全性 海藻糖是天然双糖中最稳定的一类。由于不具有还原性,对热和酸碱都具有非常好的稳定性。在与氨基酸、蛋白质共存时,即使加热也不会发生美拉德反应,可用于处理须加热或高温保存的食品、饮料等。海藻糖进入人体内在小肠中被海藻糖酶分解为两分子葡萄糖,进而被人体的新陈代谢所利用,是一种重要的能量来源,对人体健康安全有益。[3] 2. 低吸湿性 海藻糖还具有低吸湿特性。将海藻糖放置在相对湿度90%以上的地方超过1个月,海藻糖也几乎不会吸湿。由于海藻糖的低吸湿性,将海藻糖应用于该类食品中可降低食品的吸湿性,从而有效延长产品的保质期。[3] 3.高玻璃化转变温度 海藻糖相对于其他的双糖有较高的玻璃化转变温度,高达115℃。因而把海藻糖加入到其它的食品中时,能有效地提高其玻璃化转变温度,更容易形成玻璃化状态。这种特性结合海藻糖的工艺稳定性和低吸湿性,使其成为一种高蛋白质防护剂和理想的喷雾干燥风味保持剂。[3] 4.对生物大分子和生物体的非特异性保护作用 海藻糖是生物体对于外部环境变化所形成的一种典型的应激代谢物,保护机体抵抗外部恶劣环境。同时,海藻糖还能用于保护生物体内DNA分子防止放射线引起的损伤;外源性的海藻糖对生物体也具有非特异性保护作用。其保护机制一般被认为是机体含有海藻糖的部分强力地束缚水分子,与膜脂质共同拥有结合水或海藻糖本身起到代替膜结合水的功用,从而防止生物体膜和膜蛋白的变性等。[3]

无题生产工艺 海藻糖生产目的是为了获得高纯度海藻糖产品以及相关酶产品 。在实验室和生产上制备海藻糖主要有三种方法:一是从生物细胞中提取;二是采用微生物发酵生产;三是采用微生物发酵提取相关海藻糖合成酶,采用酶法合成海藻糖。[4] 发酵法:由于微生物生长旺、繁殖快,易于培养,采用深层发酵海藻糖具有先天的优越性,利用产海藻糖酵母、细菌等为出发菌株,选育出产海藻糖高产菌株,发酵生产海藻糖,再采用有效分离提取的方法提取和精制。[4] 酶合成法:酶合成法是采用微生物发酵产生并提取相关海藻糖合成酶类,以各类碳水化合物为底物来合成海藻糖。酶的最大缺点是其脆弱性,容易失活,实际生产中使用相关合成酶进行海藻糖生产,要考虑保持酶活性和酶类制剂的成本,可使用酶固定化或细胞固定化技术来保护酶类。[4]

无题主要用途 因为该糖具有独特的生物学功能,能在逆境中有效地维持细胞内生物膜和蛋白质、活性肽的稳定性和完整性,被赞誉为生命之糖,可广泛用于生物制剂、医药、食品、保健品、精细化工、化妆品、饲料及农业科学等各个行业。[1] 1.食品工业 在食品工业中,现正从海藻糖具有的非还原性、保湿性、抗冻结性和耐干燥性、优质甜味、能量来源等功能与特性考虑,进行多种用途的开发研究。海藻糖产品可以应用到各种各样的食品和调味料等中,从而可以大大改善食品的质量并增加食品的花色品种,促进食品工业的进一步发展。[5] 海藻糖的功能特性及在食品中的应用:(1)防止淀粉老化(2)防止蛋白质变性(3)抑制脂质氧化变质(4)矫味作用(5)保持蔬菜、肉类的组织稳定和保鲜作用(6)持久稳定的能量来源。[6] 2.医药工业 海藻糖在医药工业可用作试剂药和诊断药的稳定剂。目前,正从海藻糖具有的非还原性、稳定性、对生物大分子的保护作用及提供能源等功能和特性出发,探讨多方面应用。用海藻糖干燥抗体如疫苗、血球蛋白、病毒等生物活性物质,无需冷冻,待复水后均能恢复活力。海藻糖代替血浆作为生物制品和稳定剂,不仅能常温保存,还可防止污染,从而保证生物制品的保存、运输和安全性。[5] 3.化妆品 由于海藻糖具有极强的保湿作用及防晒、防紫外线等多方面的生理功效,可以作为保湿剂、保护剂等添加到 乳液、面膜、精华素、洗面奶中,还可作为唇膏、口腔清洁剂、口腔芳香剂等的甜味剂、品质改良剂。无水海藻糖还可以用于化妆品中作为磷脂以及酶的脱水剂,其脂肪酸衍生物还是优良的表面活性剂。[7] 4.农作物育种 用生物技术将海藻糖合酶基因导入作物并使其在作物体内表达,构建生产海藻糖的转基因植物,培育抗冻、抗旱转基因植物新品种,提高农作物的抗寒、抗旱能力,而且可使其在收获加工后显得新鲜,且能保持原有的风味和质地。[7] 海藻糖也可用于种子保存等,在使用海藻糖之后,可以有效地保持种子、种苗的根茎中的水分子,有利于农作物播种,成活率高,同时保护了作物因寒冷而冻伤,这对降低生产成本,特别是北方寒冷干燥的气候对农业的影响,具有重要意义。[7]

上一章 麦芽糖碳水化合物的一种 小说法宝不限章节最新章节 下一章 麦芽糖浆以麦芽糖为主要成分产品