话本小说网 > 明星同人小说 > 南波万学院—学生时代的故事
本书标签: 明星同人 

出分2.0

南波万学院—学生时代的故事

阳光透过窗帘的缝隙洒进教室,给这方学习的空间添了几分慵懒的气息。黄子弘凡坐在角落的位置,眼神时不时地飘向窗外,心中似乎正追逐着那些自由飞翔的云朵。老师的讲解声在他的耳边回荡,时而清晰时而模糊,手中的课本仿佛承载了太多的重量,令他的手指只是在书页上轻轻摩挲,却没有翻动它们的意愿。周围的同学有的奋笔疾书,有的认真聆听,而黄子弘凡就像是置身于另一个世界,与周遭的一切格格不入。

齐思钧黄子有点不对劲

蒲熠星我也感觉到了

蒲熠星在课上说话总会被老班发现

老李我在上面讲课,你们在下面窃窃私语

蒲熠星果然还是被发现了

老李你们还在继续说

老李蒲熠星齐思钧你们两个在嘀咕什么?

老李把你们的话说出来给大家听听

蒲熠星没说什么特别的

蒲熠星就是在讨论题目

齐思钧对啊

老李讨论哪道题目?

蒲熠星黑板上的那道

老李有什么问题吗?

蒲熠星感觉有些奇怪

老李文韬你怎么看?

文韬确实有点怪异

老李怪在哪里?

文韬条件看起来不太符合

老李(仔细审视题目)这道题先搁置一下,文韬蒲熠星你们两个下课后来我办公室,详细说说为什么你们觉得不对劲

文韬好的

蒲熠星明白

下课铃声准时响起,宛如平静湖面上投下的石子,激起了一阵阵欢快的涟漪,让原本沉寂的校园瞬间充满了活力。

蒲熠星你和峻纬去找凯凯他们吧

齐思钧好的

老李走吧

蒲熠星

文韬

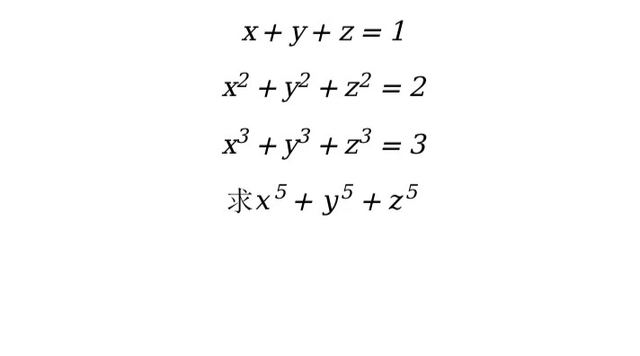
老李为什么觉得题目有问题?

老李

蒲熠星不是题目本身有问题,是超出了课程范围

老李原来如此

老李你们能解出来吗?

蒲熠星有些棘手

文韬我来试试看

蒲熠星那我也来尝试一下

过了大约十五分钟

文韬我找到答案了

文韬

蒲熠星我的答案和你一样

蒲熠星

老李你们两个真是默契十足

老李解题过程居然一模一样

老李我这里还有一些题目

老李时间还早,你们要不要继续挑战一下?

蒲熠星好的

文韬可以

老李这些题目本来是给初二和初三的学生准备的,如果你们的基础知识没有遗忘,应该能够轻松解答,我教过的初二初三学生很少有人能够解出来

老李

文韬基础知识我们肯定没有忘记

蒲熠星没错

蒲熠星

蒲熠星这应该是标准答案了吧

老李那文韬呢?

文韬给初二初三的学生出这种难度的题目挺合适的,可以多找这类题目给他们练习

文韬我就不做了,既然已经有了标准答案

老李好的

老李快要上课了,你们两个先回去吧

文韬好的

蒲熠星你是之前做过这道题吗?

文韬见过类似的题目

文韬说说你被抓了多少次?

蒲熠星这还不是因为黄子弘凡?

文韬走吧,下一节可是王主任的课

蒲熠星嗯嗯

上一章 出分1.0 南波万学院—学生时代的故事最新章节 下一章 重拾信心上