时祁
时祁你不说话没人当你是哑巴!
时祁这个是……
时祁刚才遇到了粉丝知道吧
时祁然后她们塞给我的
时祁(一本正经的胡说八道)
宋亚轩(悄悄的说)别让我抓住了,要是让我抓住了,你可造老罪了
时祁有病!🫤
刘耀文我也要吃!
时祁那都你拿着好了
刘耀文😠
刘耀文(小猪佩奇进食)
时祁😒
时祁哦!!!对了
时祁丁丁!
丁程鑫嗯?
时祁我给你买了糖葫芦
丁程鑫你吃吧,我不爱吃糖葫芦
时祁蓝莓🫐的哦
丁程鑫其实吧,我就喜欢吃蓝莓糖葫芦(忘本)
时祁给你
刘耀文为什么你给他专门买了糖葫芦
刘耀文我也要!
时祁没钱了,就买了俩
时祁我的你要吗
时祁给你啃一口
刘耀文😡
刘耀文哼,我才不稀罕
贺峻霖到底多少(嚼嚼嚼)粉丝啊(嚼嚼嚼)
贺峻霖送的(嚼嚼嚼)太多了吧
贺峻霖吃都(嚼嚼嚼)吃不完(嚼嚼嚼)
时祁没事,张哥能吃完
时祁🙂️
张真源我要吃累了
张真源这个羊肉咬的我咬合肌酸
时祁加油 都靠你了
张真源(毫无感情的进食机器)(嚼嚼嚼)
———————————————
完


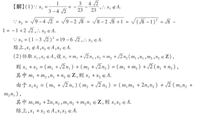
数学请去死