出了教学楼,Herobrine看到了远处聚集在仓库前面的人群,有些疑惑。
干脆对着手机问:
Herobrine他们在干什么?
没想到的是,竟然立刻就有了回复。
他们在进行四角游戏哦。
由于是封闭着的原因,你们无法前去观看。
不过,进去的人的死亡率高达99.36%哦。
“……”
Herobrine看着人群中的帕特里克、瑞恩、死亡天使和狼人。
他相信,他们不会这么容易就死的,但……
这个概率……似乎太低了……
帕特里克是个好领袖,但他能否获取信任呢……
还是去看看其他地方吧……
——
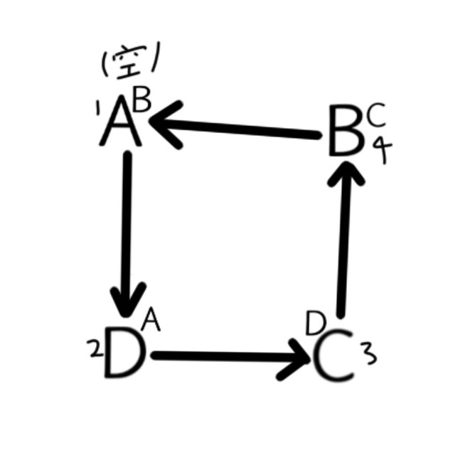
四角游戏。

永远都会有一个空位。
很幸运的,帕特里克他们四个被分到了同一组。
死亡天使默不作声,他找到了类似于漏洞的东西。
他们站在指定位置,只要手机一响,游戏就将开始。
事实上,规则说不可打断游戏,除非你找到了鬼。
那么,如果说暗号呢?
谁说不出来,直接用那个“人”给的刀捅了不就好了?
与其说是漏洞,不如说是那个“人”没有说的全面。
在紧张的情况下,大脑很难正常运作,过于急躁,几乎只会去按照游戏来,哪有心情想什么漏洞?
比起说什么暗号,不如在拍肩时做些手脚吧?
“叮——”游戏开始了。
帕特里克走到狼人的位置,拍了他,狼人走到死亡天使的位置,在中途看见地缝的一滩血迹,他咬了咬牙,拍了他,死亡天使一样,瑞恩没有声音的走向前方。
但他愣住了。
看着面前漆黑的身影,瑞恩拿起刀砍向面前的身影,但他似乎也想攻击瑞恩,两把刀交叉。
帕特里克瑞恩?!
瑞恩愣了愣,帕特里克也一样。
在瑞恩看来,他面前的本该是那多出的那个人,在帕特里克看来,他背后的本该是那多出的那个人。
瑞恩视觉干扰和知觉干扰……
帕特里克转回去,瑞恩拍了他,继续开始了循环。
瑞恩以为自己只走了一段路,但他其实走了两段,并有走过转角。
视觉干扰、听觉干扰、嗅觉干扰、触觉干扰和感知干扰,被统称为感觉干扰。
顾名思义,便是让你的感觉器官差生错误。
比如说,你正走向悬崖,在你看来离边缘还有一段距离,事实上再走一步你就会摔下去。
效果可是无疑的可怕。
三次循环,四个人都差点误伤同伴。
第四次,狼人感觉到拍自己背的人根本没有缩进小拇指……
“!!”
狼人把刀捅向了那个所谓的“第五个人”的身体。
但,他错了。
他清楚的看见,那个所谓的“第五个人”右手撑地时,缩进的小拇指……
狼人我……
下一秒,狼人突然意识到了什么,一拳捶向了他本该是墙壁的背后。
他确实打中了。
看着吐了一口黑色旳血的那个人,狼人拿刀扎进了他的腹部。
灯亮了。
他转身看了看那个被自己捅伤的同伴……