话本小说网 > 明星同人小说 > 德云男子天团
本书标签: 明星同人  德云男友  德云社团宠 

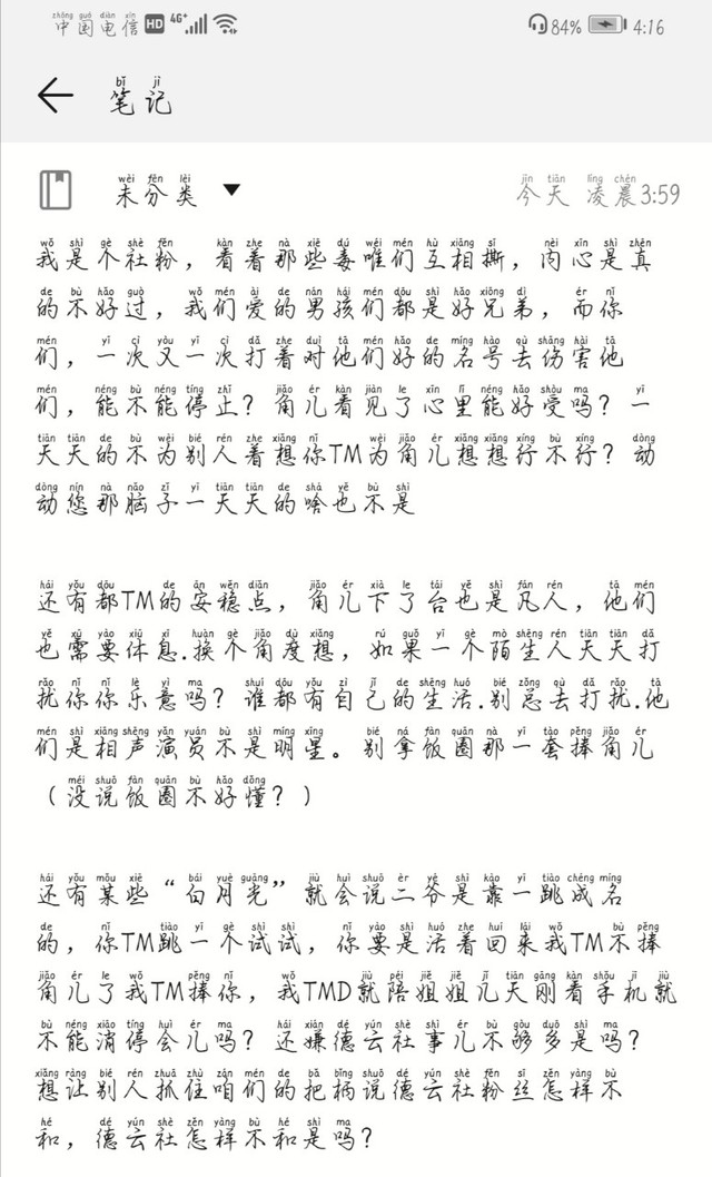
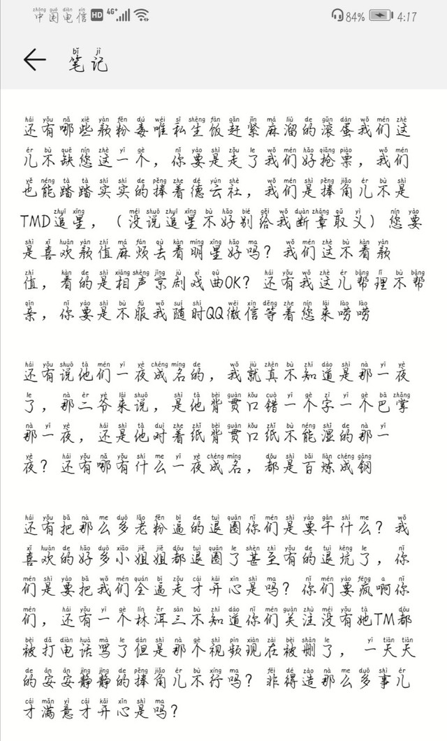
叭叭几句最近的事儿

德云男子天团

就这么多,前两张是我从自己的备忘录里截得,后边一张是我从自己文档里截的

刚几天没看手机就这么乱了,真是给你们在家闲的p都出来了,你们要是闲得慌可以跟我唠唠嗑,别天天的那德云社开涮

可能有点儿不通顺,比较生气也懒得在检查一遍

4:22打卡睡觉了晚安

上一章 无题 德云男子天团最新章节 下一章 德云男友(你x张九泰)棒棒糖or烟?