天启十年
“十哥,父皇允许我们去春游了!”
窗边的男人抬起头,闻言咧开四方嘴笑着
王银太好了!走走走,赶快去准备,明儿就出发!
他蹦蹦跳跳地跑出房间,活泼得像个孩子
可是许多年后王银发现,他已经很少有像当时那般纯澈的笑过了
次日,当今圣上之子出游,官家小姐竞相追随,渴求被皇子看上,一步登天
阮府
小鱼儿小姐,听说皇子们今日出游,咱们也去凑凑热闹吧!
阮识月不去,小鱼儿你知道我一向不喜欢热闹的
小鱼儿可是您终日呆在这阮府,大门不出,二门不迈,总也要看看外面的世界吧
小鱼儿而且.....而且小姐你也到了婚配年龄,迟早也要出嫁的啊
阮识月放下手中的刺绣,表情严肃地看着小鱼儿
阮识月我从未想过出嫁
阮识月我愿一辈子都呆在这阮府陪着爹爹
小鱼儿好好好你不嫁不嫁
小鱼儿那我们今日只当去赏花可好?
小鱼儿城外的桃花现今开的可好了
小鱼儿小姐你一定喜欢!
阮识月你啊你啊真是拿你没办法
阮识月那......好吧
小鱼儿太好了!我去吩咐下人准备马车!
阮识月无奈地低头笑笑
这个小丫头......
另一边
王郁这个地儿可真是个宝地!
王郁桃花,还有美酒!
王郁好不畅快
王银嘴里嚼着糕点,含糊不清地咕哝道:“就是!”
王郁脸上带着调笑的表情
王郁诶,十哥怎么不饮酒?
王银顿时像个泄了气的皮球垂下了眼角,嘴上的动作也停了下来
王旭啧
王旭十三弟怎能嘲笑十弟呢
王旭你明知他不胜酒力
王旭憋笑道
王郁噢我糊涂我糊涂是我给忘了
王郁十哥不能喝酒的
王郁十哥你见谅!咱千万别喝!
说完还假模假样地拍了拍自己的头
王银撇撇嘴
不就是喝酒嘛!有什么了不起的!男子汉喝酒又如何!
反正今日高兴,喝几杯也无妨!
的吧......
王银谁说我不胜酒力的!今日咱们就一醉方休!
众人见计谋得逞都举起酒杯
王郁这可是十哥你自己说的哦
王郁我们不醉不归!
王旭好!
几杯酒下肚,王银只觉得喉咙似被火烧过一样,头也晕晕乎乎的
感觉天旋地转
脸颊也染上一抹酡红
王银你.....你们先喝!我去洗把脸清醒一下
王银回来.....嗝......咱们继续喝!
王银不醉不归!
王旭摆摆手
王旭好好好你快去吧!
王旭小心点!
另一边
小鱼儿小姐,我没说错吧,这边桃花开的很是醉人呢!
阮识月对对对
阮识月我们小鱼儿啊是最不会说谎的了
置身桃林,阮识月也没了平日里官家小姐的架子,虽仍是温婉,却也添了几分活泼,此时拈着一朵桃花笑的明艳动人
阮识月我们采几枝回去酿酒吧
阮识月阿爹最喜欢喝桃花酒了
王银跑到溪边,双手捧着水在脸上扑了几下才清醒了些,也解了几分酒意,却仍是醺醺地
直起身来拍了拍衣摆上的土,打算回去继续痛饮,眼睛却撞进桃林,落在了灼灼桃花间的人儿身上
只一眼,便情根深种
王银迈着蹒跚的步子走近
阮识月见有人过来,忙戴上面纱,低下头
王银咧着四方嘴笑着
王银这位小姐生得好美,正合我心,不如嫁与我作夫人?
阮识月震惊地抬起头,后退了一步
这是哪家的公子,竟这般纨绔轻浮
王银却凑近阮识月
王银姑娘身上真香
说完还在阮识月颈窝处蹭了蹭
阮识月还在愣着,刚想推开王银,他却离开她的颈窝,温热的呼吸打在她的脸上
王银在阮识月的脸上轻点一下
王银这就算是盖章了哦,夫人
说完自己傻嘿嘿地笑了
然后便倒在了阮识月怀里,还吧唧了几下嘴
嘴里嘟囔着“夫人......”
阮识月下意识地扶住他
周遭安静,是谁的心在怦怦乱跳?
作者大大over!
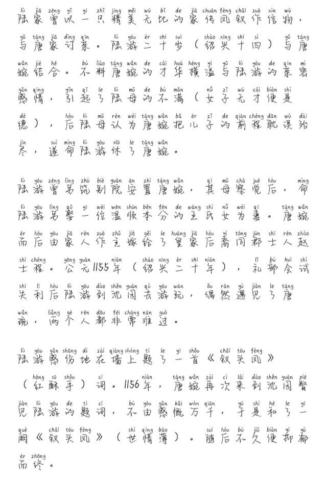
作者大大原型是陆游的《钗头凤》

作者大大这是原文~

作者大大这是陆游与唐婉的故事~
作者大大我是在我们的语文报纸上看到的这首诗,就有点感觉,想写出来
作者大大并不是跟陆游与唐婉的故事情节一样的
作者大大我是要尽力写好王银与阮识月的人生
作者大大在这里把这首诗和他们的故事放出来只是想说明我的灵感来源
作者大大也是“预谋已久”了
作者大大迫不及待地想写出来
作者大大所以希望大家多多支持~
作者大大安利我的头像这个03年的宝藏小姐姐!
作者大大我最近才粉上的
作者大大itzy的申宥娜!
作者大大我也算是粉了itzy这个团叭
作者大大Lia崔智秀也很好看!


可叹这惊鸿一瞥,误入眉眼,欢喜多年