“艾瑞克,要不要去和他们打个招呼。”帝蒂娜转头问道。
“下课吧,这里不比萌学园。”艾瑞克小声回答。
帝蒂娜点了点头。
他们刚说完,就有一个同学跑到星愿旁边,说:“星愿,这个我做了好久都做不出来,你给我讲讲可以吗?”
黎樱.允诺星愿好。
黎樱.允诺星愿你等一下。
说完起身走上讲台和老师说了什么,班主任点了点头走下讲台坐在星愿的位置上。
黎樱.允诺星愿同学们,看黑板。
黎樱.允诺星愿
黎樱.允诺星愿这道题你们有多少人不会,举下手。
....
月月:别问我她什么时候画上去的,别忘了她有魔法。
.........
星愿看了一下一半以上的同学不会,所以。
黎樱.允诺星愿那好,接下来我会详细的给你们讲,拿出笔记本和笔记录下来无所说的重点。
“好的。”同学们回答。
.......
黎樱.允诺星愿那我开始了
解:

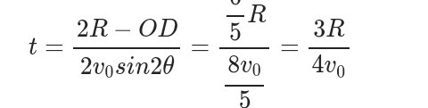
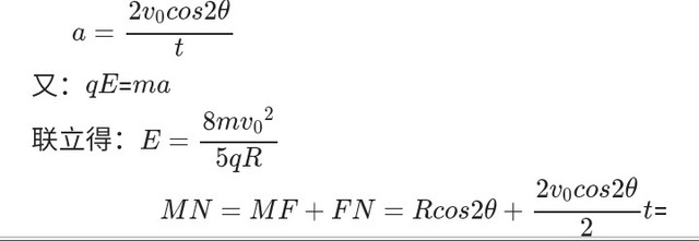
黎樱.允诺星愿(1)如图1所示,粒子在区域1中运动四分之一圆周后, 从C点沿y轴负方向打在M点,轨迹圆心是01点,半径 为 r¹=R

黎樱.允诺星愿由带正电粒子向下偏转,由左手定则可知,B方向为 垂直xcoy平面向外
黎樱.允诺星愿(2)当2v速度射入,粒子在区域I中作圆周运动半径为 2R,其运动轨迹如图


黎樱.允诺星愿粒子进入电场后沿y轴方向做匀速直线运动,则时间5为

黎樱.允诺星愿粒子在x轴方向做匀减速直线运动,则


解析 带电粒子在磁场中受到洛伦兹力作用下做匀速圆周运 动,洛伦兹力始终与速度相垂直,由于洛伦兹力不做 功,所以动能不变,带电粒子在磁场中运动,由左手 定则可判定洛伦兹力方向,从而可根据运动轨迹来确 定洛伦兹力的方向,最终能得出磁感应强度大小与方 向. 当粒子垂直射入匀强电场时,粒子做类平抛运动,从 而利用平抛运动规律来解题。由轨迹的几何关系可以 得到MN的间距. 带电粒子在磁场中做匀速圆周运动,处理时注意:定 圆心、画轨迹、求半径;而在电场中做类平抛运动, 处理时:电场强度方向做匀加速直线运动,垂直电场 强度方向做匀速直线运动.
..... ......
PS:月月在这里说一下
图中所示是打不出来的那部分,这道题是我在百度上搜索的。
月月自己表示,月月没有学过这个,月月学习不好,上的是职业学校。
月月在此声明,尊重作者哦,不要看不起任何一个人哦。
Thank you~
..................
黎樱.允诺星愿听懂了吗?
“还是有一点点没有理清楚。”一个学习挺好的同学开口。
黎樱.允诺星愿慢慢来,这道题就挂在黑板上,没有懂可以在看一看。
樱.摩羯星系守护者看班级群,学校群,还有校园官网,我刚才和我的朋友把主人讲的录了下来。
依.天秤星系守护者是的哦~
“真的耶,妈妈再也不用担心我的学习了~”
“铃铃铃~”
下课了。
黎樱.允诺星愿先下课吧,以后有不懂的你们下课讨论以后多少人不会然后把题目写在黑板上,我给你们讲。
“好,星愿你好棒。”
“哇,论坛都炸了,好多学习好的都不会,看完之后秒懂了。”
“对啊,我还要好好研究一下,我比较笨。”
“没想到你讲的比老师都细,下次我的课如果我不在你就帮我上。”
黎樱.允诺星愿好的老师。
“嗯。”说完离开了。
.............
“几位,我们是不是在那里见过。”澜影宸看着走过来的几人说道。
“????宸,你是不是记错了,我们什么时候见过他们啊?”红尘银疑惑的说。