话本小说网 > 动漫同人小说 > 穿越狐妖竹业篇
本书标签: 动漫同人  旭离  穿越言情   

第六章《公主回人类世界写公务》

穿越狐妖竹业篇

到了地方,冰晶宫宫殿。

—————冰晶宫殿里—————

然后冰莲就行礼,开口了。

冰莲依洁,见过姐姐。

冰公主妹妹,这礼就免了吧,以后不用行礼。

冰莲好的!

说完之后就走过去了,走到冰公主的面前,站着说话了。

冰莲姐姐,叫我来有什么事情?

冰公主你最近一直在人类世界,冰晶宫的公务没写!

冰莲姐姐,几本?

冰公主20本。

冰莲知道了!

冰公主恩!

冰莲姐姐,我想回人类世界写公务。

冰公主可以!

冰莲恩!

冰莲姐姐,这些公务什么时候交给你?

冰公主不着急,你写完给我就行了。

冰莲好的!

冰公主恩!

冰莲姐姐,我回去了!

冰公主恩!

说完就消失了,之后回到了娃娃店里。

冰莲辛灵姐姐,谢谢你!

辛灵不用谢。

冰莲恩,我先走了!

辛灵好的!

冰莲恩!

说完就走了,之后到了家了,进去了门关上了,回到屋里,之后。

—————屋里—————

李自在回来了!

冰莲恩,你先睡吧!

李自在为什么?

冰莲我还有公务要写和作业。

李自在我作业也没写。

冰莲那好吧,一起写。

冰莲我先写作业,然后在写公务。

李自在好的!

冰莲恩!

说完两人就坐下了,两人一起写作业了。

李自在小冰,这道题怎么做?

李自在

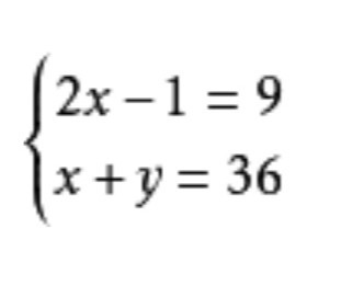
冰莲解2x-1=9.

冰莲得x=5.

冰莲再代入x+y=36.

冰莲即5+y=36.

冰莲从而求出y=36-5=31.

李自在好的,谢谢。

冰莲自在,以后别说谢谢!

李自在恩!

说完就继续写作业了,之后。

李自在我写完了!

冰莲语文和英语,做完了吗?

李自在你帮我写!

冰莲我这回不能帮你写!

李自在为什么?

冰莲我写完作业,还要写20本公务!

李自在好吧!

之后,就开始写了,不会的也问冰莲了,过了一会儿,完事了。

李自在小冰,全写完了!

冰莲恩,我也完事了!

李自在知道了!

冰莲恩,你先睡吧!

李自在好的!

之后,开始写公务了,过了好长时间,到了凌晨1点,冰莲完事了。

冰莲终于写完10本了,明天继续写。

之后,就走到床边,然后上床躺下了,随后搂着自在睡着了,这时候自在醒了。

李自在心想(小冰,辛苦你了)。

之后自在就搂着冰莲继续睡觉了,两人互相搂着睡着了。

恋之舞(作者)请收看下集。

上一章 第五章《校园比赛》 穿越狐妖竹业篇最新章节 下一章 第七章《庞尊解救庞雅欣》