谢俞
谢俞朝哥,问你个题呗
贺朝小朋友,就我这水平,你是不是太高看我了
谢俞同桌,你先看看啊
贺朝………额,好吧

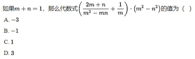
谢俞就是这个
贺朝啊?这个你不会!?
谢俞我当然会,可是我懒得写,朝哥,拜托,要过程
贺朝好吧
贺朝好了,自己看吧
谢俞不讲讲
贺朝因式分解和小学学的同分母分数相加减,你不会?
谢俞不会
贺朝小朋友,乖,哥给你讲
贺朝m方-mn这个,因为m方是m×m,mn是m×n
贺朝所以可以写成m(m-n)的形式
谢俞哦
贺朝m分之一这个,要化成同分母分数,分母m乘以(m-n),分子也要乘以(m-n)
贺朝然后就可以相加了,分母不变分子相加减,2m+m+n-n=3m
贺朝后面要乘的(m方+n方),因式分解成(a方+b方)=(a+b)(a-b)的形式,就是(m+n)(m-n),这道题写成(m-n)(m+n)比较方便计算
贺朝然后
贺朝然后就是后面你看到的了
谢俞没懂
贺朝我靠,小朋友,真没懂??
谢俞你教的好复杂
贺朝有吗?
谢俞有
贺朝要不我再讲一遍?
谢俞别了,我其实听懂了,就是你比较唠叨
贺朝………
………………………………………………………………………
作者你们看懂了吗,本宝宝可是很仔细的把思考步骤写下来的呢
作者这是我们老师留的作业(好久以前留的,昨天翻出来的)看了一眼觉得还可以,就决定先发这道题了
作者这个我决定一周发一道题
作者中考题型,转为学渣定制ฅ(̳•◡•̳)ฅ
作者如有没讲到或者还是看不懂的,请自翻教材
作者八年级……几测我忘了,哈哈
作者就这样了