[搜索]
[菜单]
首页
角色广场
分类
智笔写作
收藏
写作
我的
书架
登录
智笔写作
写作福利
写作后台
首页
分类
角色广场
手机版
话本小说网
>
同人小说
>
梦幻日记第一季
本书标签:
小说同人
梦凤
玖玥
雷龙
1
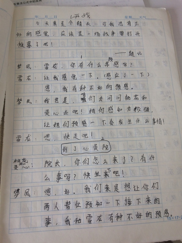
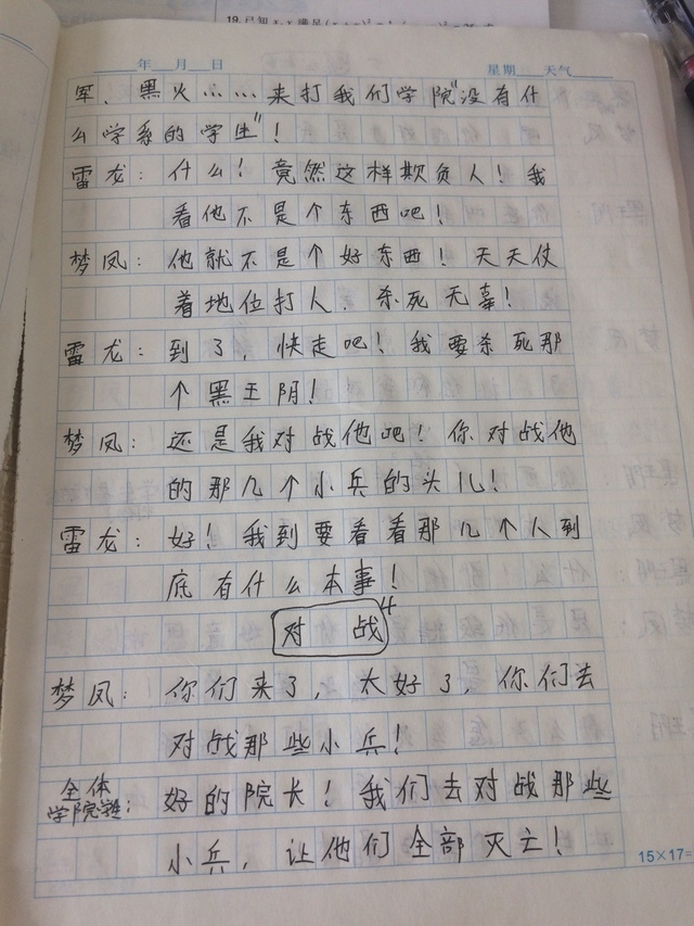
梦幻日记第一季
梦凤酱
2020-05-15
梦幻日记第一季
梦幻日记第一季最新章节
下一章 2
作者福利
|
签约标准