
前情回顾
李沐遥(去苏杰卧室)起床啦!!!
苏杰来了来了
吃饭过程略
到了学校
班小松苏杰苏杰!
班小松你来了
苏杰嗯
班小松准备好了吗?
苏杰(一脸懵)准备什么?
尹柯唉
邬童当然是下午的比试了
邬童你可别忘了,陆通很会作弊的
苏杰我忘了
班小松啊!
班小松那怎么办?
苏杰放心吧
苏杰没事
下午放学后
苏杰(给李沐遥打电话)
苏杰姐
李沐遥干啥
苏杰我等会有个比试
苏杰可能要晚点回去了
苏杰你先走吧
苏杰我等会和邬童回去
李沐遥我等等你吧
苏杰也行
转
礼堂
陆通苏杰,你你你你,你金玉其外败如其中!
在座的所有人哈哈哈哈哈哈哈哈哈
黄豆豆通哥,是金玉其外败絮其中
班小松哈哈哈,陆通,不是吧,一年了,还没改过来
邬童你是不是只会这一句啊
尹柯(微笑)
苏杰行了,别废话了,开始吧
陆通那如果我赢了,你就放弃教练这个职位
苏杰等你赢了再说吧
邬柯松你可别像上次一样耍赖了
陆通规则是我定的,为什么不能
在座的所有人咦~~~
与此同时
在教导主任办公室
李沐遥这个陆通,怎么和小孩子一样
礼堂
黄豆豆第一场比智力
黄豆豆为了比赛的公平,由双方出题
苏杰陆通,你先
陆通还是你先吧,我怕被别人说欺负小孩
苏杰[我不生气,我不能生气]
苏杰(死亡微笑)还是你先吧
陆通我先就我先
陆通请说出我的生日
在座的所有人切~
班小松不是吧
班小松又来
苏杰2003年7月24日
注:03应该是高二,月份和日期是扮演者的
苏杰好老
陆通你你你,你怎么会知道
苏杰作为一个教练,了解队员的基本信息是应该的吧
苏杰该我了
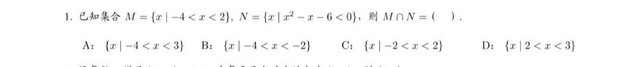
苏杰
注:青岛高考题
陆通这是什么题啊
陆通怎么那么难
苏杰高考的
苏杰不行吗
陆通这题超纲了
黄豆豆通哥,你还是蒙一个吧,万一对了呢
陆通那B
苏杰错✖
苏杰选C
苏杰你不信可以问问高三的学长或老师
其中一员〖高三的同学〗确实是c他好厉害
又经过了几轮,最后苏杰获胜了
尹柯愣着干嘛,快宣布吧
黄豆豆好,我宣布,这一轮苏杰获胜
黄豆豆(极不情愿)
黄豆豆下一轮我们比体育
邬童等等
邬童既然是为了棒球而比试,体育就比棒球吧
陆通随便
棒球场
苏杰这样吧,我投十个球,如果你接中一个,就算你赢
陆通可以啊,但是如果你输了,就别说我欺负你
苏杰好
就在此时
李沐遥(看着他们)
李沐遥[看来他又要欺负新手了]
十个球过后
陆通一个都没中
黄豆豆『又极不情愿地说』第二轮,苏杰获胜
黄豆豆第三项,比团结
黄豆豆四人五足
邬童等等
邬童陆通,这次可不能再找小孩子了
陆通(紧张😓)
苏杰怎么,不敢了?
陆通不用就不用,我照样能赢你
陆通黄豆豆以及另外两个同学
邬童尹柯班小松和苏杰
因为之前合作过,邬柯松已经很默契了,苏杰毕竟是世界冠军,可以很好的融入
所以苏杰又赢了
黄豆豆我宣布,整场比赛苏杰获胜(极不情愿)
苏杰『对陆通说』这下服了吗
陆通苏杰,我会努力让你对我有信心的
苏杰那你努力吧
苏杰(走了)
李沐遥(去找苏杰)走吧
苏杰好
本章完
求打赏>_<