[搜索]
[菜单]
首页
角色广场
分类
智笔写作
收藏
写作
我的
书架
登录
智笔写作
写作福利
写作后台
首页
分类
角色广场
手机版
话本小说网
>
动漫同人小说
>
白糖是洛小熠
本书标签:
动漫同人
本文没有CP
推书
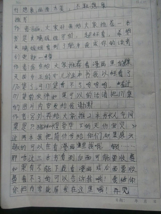
白糖是洛小熠
慕昔柠
2020-08-01
白糖是洛小熠
作者
作者闺蜜
作者闺蜜
作者闺蜜
作者闺蜜
作者闺蜜
作者闺蜜
是写看漫画的
作者闺蜜
再见
作者
再见
上一章 一定要看
白糖是洛小熠最新章节
作者福利
|
签约标准