作(业)者
作(业)者Once
作(业)者upon
作(业)者time
说人话
作(业)者开始?
你问我,我问谁?
作(业)者开始!!!!

人物介绍




作(业)者私设
作(业)者雷伊
作(业)者非常非常非常非常普通的人。
作(业)者除了他是战神联盟的队长之外。
雷伊😁
作(业)者(身体一斗)
作(业)者盖亚
作(业)者一个非常非常非常非常非常非常非常非常非常非常非常非常非常非常非常非常非常非常非常非常非常非常非常非常非常非常非常非常非常非常非常非常非常非常非常非常非常非常非常非常非常非常非常非常非常非常非常非常非常非常非常非常非常非常非常非常非常非常非常非常非常非常非常非常非常非常非常非常非常非常非常非常非常普通的人。
作(业)者卡修斯
作(业)者一个每天都吃糖的,身体有99%是糖
作(业)者布莱克
作(业)者邪灵组织二当家
作(业)者不是私设
作(业)者神丶魔丶凡丶冥界的总领导者
作(业)者死神
作(业)者缪斯
作(业)者凡界领导者
作(业)者以为战神联盟没有一个和她一样有特殊身份。
作(业)者晶身小魅
晶身小魅终于说到本小姐了
作(业)者一个面积约100000米玄天星球的公主星球只有10个高级精灵,包括她和他的妹妹美丽的洒*和她的母亲和父王
晶身小魅你说什么呢?
美丽地洒*对呀,你想干什么。
作(业)者快护驾!!!
缪斯来了
布莱克女来
布莱克来
第二人格来了来了
雷伊来了
盖亚太好了,我已经很久没有打架了。
缪斯😁
盖亚(突然感觉这天是多么美好)
卡修斯来了
作(业)者开始

布莱克(我叫布莱克,今天我要上学了,其实我并不想上学,但是某一个**非要让我去,然后我就成功地进来了)
突然在远处出现了两个声音。
盖亚快迟到了!!
此时,离上课还有10分钟。
卡修斯都是你让我晚起得
卡修斯😭
布莱克带你
卡修斯你要带我?
布莱克没有理会他一个瞬移就走了。
盖亚What?!这个黑衣怪也太不厚道了。
在学校
老师新同学来介绍一下自己吧。
布莱克布莱克
同学A:看起来好像一个狐狸精啊。
同学B:我也是这么认为的。
老师下一个
晶身小魅本公主是魔城少主
老师下一个
美丽地洒*大家好~
美丽地洒*人家是魔城少主的妹妹~
同学(很想吐,可是不行)
老师上课
老师重要的事情讲两遍。
老师这就是第一课讲的内容下课。
老师等一下,我先拖堂
老师好啦,下课。
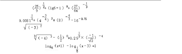
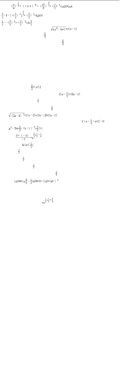
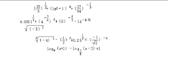
作(业)者这个题是我上网查的。
作(业)者高中计算
作(业)者这两天隔一天一次。
雷伊你听懂了吗?
卡修斯我听懂了一点。
盖亚我根本就没有听懂。
缪斯听懂了一半。
布莱克(继续睡觉)

卡修斯交个朋友呗。
布莱克好
盖亚和我打一架。
布莱克呵
雷伊要想打的话体育课上打。
他们走了以后。
晶身小魅睡什么觉呢?
晶身小魅你带了什么东西通通给我。
布莱克(没理她继续睡觉)
晶身小魅快点起来。
同学A:对呀,对呀,还不快点给魔城少主所有的东西
布莱克(一个技能把教室给炸没了)
晶身小魅你信不信我找我爸来打死你
美丽地洒*还是算了吧姐姐~(明显是喜欢上布莱克了)
布莱克呵
另一边
因为今天只有一节课,所以。
数学老师就布置了作业作业如下。
200页数学题
100,000,000,000的英语题。
5000的语文题。
这可是老师们大发慈悲才布置这么少。
盖亚我得写到什么时候啊,我放弃。
卡修斯我根本写不完,努力写。
缪斯天哪,这作业也太多了吧。
雷伊(用四支笔写)
回到布莱克
布莱克(用1秒2000页的速度写作业)
美丽地洒*你好~人家是美丽的洒*~
布莱克(没理她)
美丽地洒*(更加喜欢上了,布莱克)

作(业)者我是个不按套路出牌的人。
作(业)者由于我这次挂水太多,所以我
作(业)者就不挂水了。
作(业)者第20集的内容在这儿。

布莱克女他们都走了。
盖亚那我们怎么办呀,比赛还没结束?
雷伊凉拌呗,你还想怎么办?
〈全走了〉
然后他们又穿越了。
🌚🌚🌚🌚🌚
布莱克女这又是哪?
学霸喂,你怎么停了,快干活啊!
布莱克女?
布莱克女(一大堆的信息)
布莱克女(原来这个人长得又丑学习,又不好被雪霸逼迫干活了很久啊。)
学霸嗯,你怎么变得这么漂亮啊?
学霸快把它给毁容了。
同学是!
,