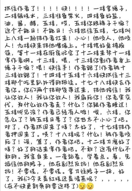
脑叶工司员工日常
胡汉落今天
胡汉落我们来玩国王游戏
ink猫酱好
大鱼好
老回忆好
琳宝好
胡汉落分牌中
琳宝我是国王
琳宝3号亲一下1号
胡汉落翻牌
大鱼翻牌
大鱼………
胡汉落…………
胡汉落我是3号………
大鱼我……是1号………
ink猫酱
然后一顿不可描述
胡汉落这次我是国王
胡汉落2号卖个萌➕哭出来
ink猫酱翻牌
ink猫酱…………
ink猫酱QAQ
ink猫酱
大鱼好萌吐血了
老回忆啊啊啊啊
老回忆
琳宝太萌了!
胡汉落舒服
~~~………~~~…………………~~~……~~~
龙套门口一只喵:………
龙套