据导演组给他们两个若有若无的启示,他们两个很快就把关给闯掉了。两个人都不是特别胆小的人,自然也不会发生什么尖叫事件。这一组算是让导演组最为省心的了。他们连续闯了几关之后,大概耗时一个小时,来到了有光的地方。这时周峻纬注意到一辆车。
那辆车非常的奇怪,它停在了密密麻麻的树林中间,如果不仔细看的话,完全看不出来它是一辆车。而且明显看得出来,驾驶座上面没有人呐,那辆车会是谁的呢?他默默地记下了车牌号,之后并没有说什么,也许是自己天生的错觉吧。节目继续录制都很顺利。
齐思钧你发什么呆呢?看看这道题怎么解。

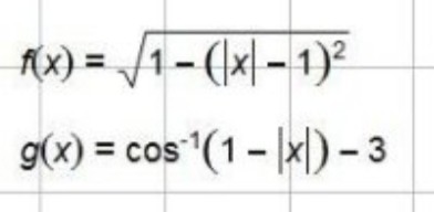
一个电子屏上面显示了两个函数图像。
齐思钧已经对应着看了很久了,甚至他也试过带进去看,但是带出来都是一些狗屁不通的东西。他也不是一个专业的理科生,也不懂这些东西。
周峻纬虽然说算是半文半理的,但是他的理科成绩会比齐思钧好很多。突然他看了一眼之后笑了出来。
齐思钧你笑什么,你解出来了吗?
周峻纬算是吧。几位数的密码?
齐思钧七位数。
周峻纬想了想之后,输入七个数字。
门锁真的开了。齐思钧稍微还算是有点惊讶。
周峻纬怎么了,很惊讶吗?
齐思钧我只是没想到这个函数那么简单吗?
周峻纬你就觉得他只是一个简单的函数?
齐思钧难道他还有什么代表性意义吗?
周峻纬你们应该没有背过函数特殊含义吧?
齐思钧函数难道还有什么特殊的含义吗?难道这就是来自理科生的浪漫吗?真的是不懂。
周峻纬这两个函数在数学上用图形表示的话就是一个♡,你不知道吧?
齐思钧瞬间才有点恍然大悟。
齐思钧那你输入的密码是哪七个数字啊?
周峻纬突然停下了手中的动作,非常深情的看着他。
眼睛对上了他清澈的眸子,然后很认真的说,
周峻纬520……1314。
这句话说出来的语气极其的认真。齐思钧一瞬间都觉得有些不太真实,一个一线明星像自己一个小小的主持人说出了5201314。幸好自己的是个男的,不会被骂。不过这也太深情了。他这张脸说出来太犯规了。
齐思钧咳咳……
周峻纬回神了,然后继续解着自己的谜题。
他们在这句话之后觉得都算是非常的快,两个人感觉都清醒了不少。一场节目录制下来,虽然耗的体力和脑力都有点多,但是两个人心照不宣的都有点开心,不知道是为什么。齐思钧和周峻纬两个人互相加了联系方式。他们还要一起录制12期节目。
这档节目播出之后,他们两个深情的对视以及周峻纬那时候故意的停顿,说出来那句话的语气全部上了热搜。齐思钧和周峻纬也是直接冲上了热搜第一。
齐思钧我怕自己做梦也没想到,没想到自己第一次登上热搜,竟然是因为和别人一起炒cp。还是因为别人对自己说了一句5201314。不过他回过头去看了一下那个被众多粉丝剪辑的视频。他好认真。是……错觉吗?