——正文——
江苏苏完全不放小声音
朱志鑫眉头一皱扫视了周边果然一群人都皱着眉头看着这里
朱志鑫知道他们看的不是他
毕竟班里安静朱志鑫之前的话他们都听见了
他们看的是左航
一看就知道是他
朱志鑫“左航你能不能不要因为你自己一下其他人啊”
“就是就是”
“左航到底在干嘛啊”
很奇怪的是左航就像是听不见一样
的回答
左航“朱志鑫你装什么英雄苏苏问你你就不能回答她吗?好好说话不会吗?”
朱志鑫“我又不是说我不讲我只是说办事还有其他同学让他们小声一点而已”
朱志鑫皱起好看的眉眼瞪着左航
张极“朱志鑫你瞪什么啊!”
朱志鑫“不是管你屁事了?”
朱志鑫“要问题把我叫出去不行?”
朱志鑫“胡搅蛮缠,不可理喻”
朱志鑫“脑子被狗吃了吗?”
朱志鑫“要上课了你们三个还不滚回去?站在门口当门神吗?你们这一闹浪费我们多少时间知道吗?还有你左航要高考了你还在瞎闹”
朱志鑫“有什么东西是比你的前途更重要?”
朱志鑫话刚说完预备铃就响了
左航也不说了
就坐座位了
张极和苏新皓带着哭哭啼啼的江苏苏也回去了
左航脑子里一直在循环朱志鑫刚才说的话
“有什么东西是比你的前途更重要?”
“这是?在关心我?”
左航也立马反驳了自己
“想什么呢!刚才把苏苏弄哭自负狂妄的腹黑男”
朱志鑫听着课就感觉有一双眼睛怨毒的看着他
转头一看差点吓死
左航看着他的眼神像要刀了他
这怎么干啊
【宿主Y在这里提醒您】
【张极厌恶+5现为85】
【苏新皓好感-5现为0】
【左航厌恶+10现为70】
【生命值-15天】
【剩余生命为349天】
朱志鑫听着脑海里的提示音怨气也上来了
转过头用更恐怖的眼神看着左航
“来我们上来一个同学写一下这两道题目”
“朱志鑫左航你们两个干嘛呢?上课对视挺甜蜜啊!”
“朱志鑫那就你上来写”
“傻愣在那干嘛呀?上来呀”
朱志鑫迷迷糊糊的就上去了




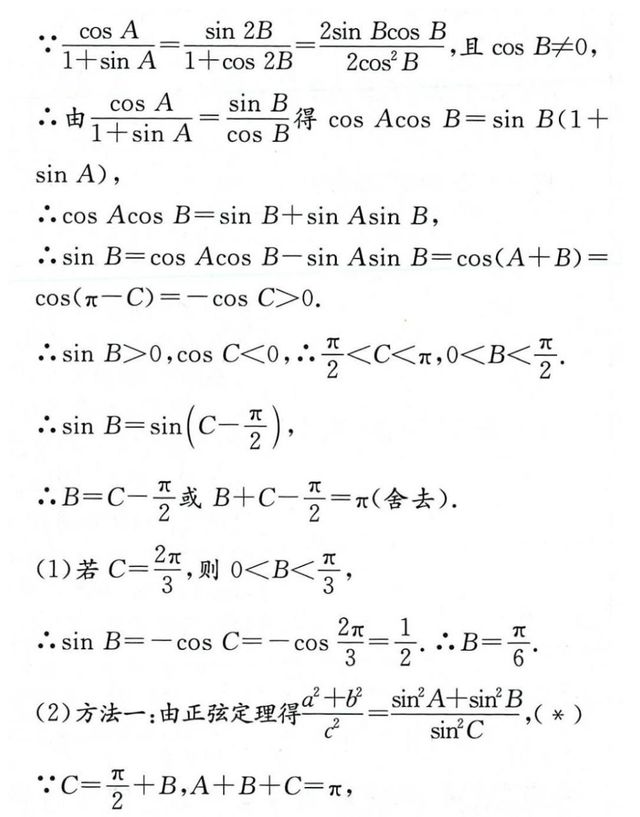
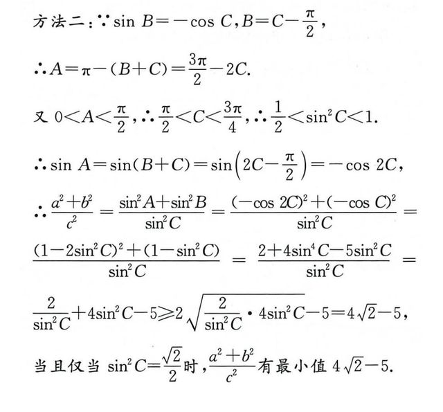
(*题目来源于2022年新高考数学试卷解题思路来源于某作业软件)
“好了下去吧”
“上课好好听”
“不然就给我回家去”
朱志鑫“好的老师”
朱志鑫“对不起老师”
朱志鑫“老师我先下去了”
朱志鑫语速非常之快的说完就下去了
惹的班上哄堂大笑
朱志鑫回去一半又折返回来
“还有什么事儿吗?”
朱志鑫“老师那左航”
“放心他下一题”
朱志鑫“好的老师老师辛苦了老师我先下去了”
刚刚止住的笑声再一次爆发
“哈哈哈哈哈哈志哥666”
“左航哈哈哈”
“哈哈哈”
……
下一题左航就上了
哦莫
不会
没有办法只顾着和江苏苏混在一起了心不在焉的恋爱脑
原本高一成绩还在前五十现在都要出前二百了
一直在198和199徘徊
——
芝芝源拜拜我们下次见