话本小说网 > 校园小说 > 恰是那年风华正茂
本书标签: 校园  校园  雷莱     

第六章数学题惨案

恰是那年风华正茂

布莱克悄悄瞟了一眼手表,已经8点40,便提醒墨老师,到了回班报道的时候了。

“哎呀呀,瞧我这记性,差点忘了,估计班上的同学也差不多来齐了。那好,咱们一起回班,你好做个自我介绍,我给你安排一个座位。”墨老师一拍脑袋,差点耽误事。

办公室与教室比较近,布莱克跟在墨老师后边往高二(1)班走去。

距离班门口还有十米左右的时候,就能听到从班里传来的嗡嗡嗡的说话声与哈哈大笑声,墨老师肉眼可见的皱了皱眉头,咬牙切齿地快步向前。

布莱克赶忙加紧步伐跟了上去。

五米、四米、三米,墨老师即将到达战场,突然教室前门鬼鬼祟祟地探出一颗脑袋,一看见墨老师,直接180°扭转回去,惊恐之情溢于言表。

夭寿啊!

短短两秒钟时间,终究还是晚了一步。墨老师三步并作两步,伸出一只手,像拎小鸡崽一样一把捏住那个男生的后领,直接把他提出教室。

恐怖如斯!

班里人本来还不知道出了什么事,直到看见刚刚被派出被刺探敌情的那个男生被一只手臂猛的拉出教室,哪里还不明白发生了什么?瞬间班级静得一根针落下都能听得到,个个怂如鹌鹑。

布莱克:“……”不愧是你,墨老师。

墨老师提着那个哆哆嗦嗦的男生走进教室,下面的人大气不敢出一个。别看墨老师平时脾气好,一旦惹她生气了,谁都别想好过。

“来,这位同学,你们刚刚在讨论什么呢?这么热闹,跟老师说说,说不定我还能帮你们答疑解惑呢~”墨老师笑眯眯地看着被她逮住的“情报员”。

“情报员”同学:“……”卧槽老师,你不要突然加一个波浪号啊,好恐怖的啊我淦!

“老师……我们刚刚……在…讨论……数学题。”终于这位可怜的“情报员”同学颤颤巍巍地回答。

“对啊对啊,我们在讨论数学题呢。”

“没错,刚刚这位同学想要去找您问题来着。”

“嗯嗯,没错没错,就是这样。”

……

下面的同学纷纷附和,个个如小鸡啄米一般疯狂点头,看起来好像说的是真的似的。

“哦~真的嘛,那好,出道题考考你们,”慕老师咪咪眼,看向了站在门口的布莱克,“布莱克同学可以帮老师出一道题吗?”

瞬间,所有人的目光都集中在布莱克身上,无不希望这位他们刚刚讨论的传说中的学神可以对他们仁慈一点。

布莱克:“嗯,好的”啧,好麻烦。

布莱克稍稍思考一会,拿起粉笔在黑板上刷刷地写了起来。

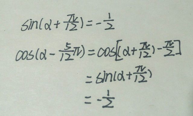
“已知sin(a+π/12)=-½,则cos(a-5π/12)=?”

“嗯,一道很经典也很简单的三角函数题,不错,”墨老师点点头,扭头对台下的同学说,“给你们3分钟时间,3分钟后数学课代表把所有人写的答案上交,谁要是错了,哼哼哼,你们可知道后果~”

教室里立马响起刷刷的声音。

很快3分钟就过去了,雷伊站起来从后排一个个收上去,然后交给墨老师。

“都收上来了吧,那好,布莱克同学公布答案吧。”墨老师看着手上各种各样的答案,冷笑道。

“答案是-½。”布莱克看着台下同学的殷切目光,回答道。

“啊,我错了。”

“卧槽,我写对了,哈哈哈。”

“我淦,我为什么要改答案啊,卧槽,明明第一遍写对了的。”

……

“呵,做错的同学下课去办公室找我,我给你们亲自辅导一下~”墨老师拿着手里各式各样的答案,核善微笑着。

“想必现在大家也看出来了,这是我们的新同学,布莱克,他从格雷斯奈特重点高中转过来,还不太熟悉这里,大家要好好相处。”墨老师微笑着说。

墨老师,赤裸裸的差别对待啊!

“布莱克同学做一下自我介绍吧。”墨老师看向布莱克。

布莱克点点头,站上讲台。

“我的名字是布莱克,来自格雷斯,请多多指教。”说罢,微微鞠了个躬。

教室里响起热烈的掌声,同学们高兴地欢迎新伙伴的加入。

墨老师把教室环视一圈,只有后排雷伊旁边还有座位,“布莱克同学,你先坐那个座位可以吗?”

“嗯,好的。”布莱克点头然后走向雷伊。

~~~~~~~~~~~~~

作者文章中的三角函数题是高中必考知识点

作者很多读者可能不知道这个

作者不过没办法,毕竟布莱克都高二了,总不能让他出一道初中题吧

作者那就有点配不上他学神的称号了

作者具体步骤如下,感兴趣的可以看看,其实真的很简单的

作者

作者字丑轻喷

作者拜拜ノBye~

上一章 第五章 恰是那年风华正茂最新章节 下一章 第七章