因为刚打了下课铃不久,所以教室的人还多
一声痛苦的喊声把隔壁经过这里的人都喊住了
纷纷向事发现场投来目光
江曌可没空管这些
扭头就向食堂走去
身后的同学纷纷向“郭世安”投来“这人能处,有事她真上啊!”的眼神
——
食堂
江曌打完了饭就走向了餐桌
刚扒了一口饭旁边就来了一个人
来人正是王九龙!
江曌没有管
继续扒饭
她吃的很快,这是组织的规矩,吃饭可不是耽误时间的理由
王九龙嘿,嘿,嘿,慢点吃,家里饿着你了,还是虐待你了?!
王九龙在昨天晚饭的时候就发现她吃饭吃的很快
吃的还少
而江曌直接无视了他的话
继续扒饭,又扒拉了两大勺,盘子空了,也吃饱了
王九龙吃了个瘪
气呼呼的吃着他的饭,吃的时候还时不时的戳米饭
——
江曌看时间不早了就直接回了教室
教室里,人还没有回来全,但也差不多了
没回来的人中包括那个胳膊脱臼的女生
江曌回到了她的位置
现在是下午13:00
再打个两个铃声就该上课了
现在江曌想的是,把那几个害她的人斩草除根,然后好好的体验一下正常人的生活,这是她的梦想,她的向往......
转眼之间两个铃声已经过去了
老师走进了教室
哦~又是这个旺仔呢~
王九龙今天下午第一节课是数学,所以打起精神来
王九龙哦,对了,我在吃饭的时候看到了咱们班的同学吃饭吃的那叫一个狼吞虎咽啊,怎么?这是家里没给你饭吃吗?
王九龙笑吟吟的说这话同时还看着江曌
江曌根本不鸟他
毕竟有又没有点她的名字
王九龙这次也没生气,笑嘻嘻的拿出了课本开始讲课了
讲到一半的时候王九龙在黑板上出了一道题
一.
2011年,国际数学协会正式宣布,将每年的3月14日设为国际数学节,来源是中国古代数学家祖冲之的圆周率.为庆祝该节日,某校举办的数学嘉年华活动中,设计了如下有奖闯关游戏:参赛选手按第一关、第二关、第三关顺序依次闯关,若闯关成功,分别获得5个、10个、20个学豆的奖励.游戏还规定,当选手闯过一关后,可以选择带走相应的学豆,结束游戏;也可能选择继续闯下一关,若有任何一关没有闯关成功,则全部学豆归零,游戏结束设选手甲能闯过第一关、第二关、第三关的概率分别为,选手选择继续闯关的概率均为,且各关之间闯关成功与否互不影响
(1)求选手甲第一关闯关成功且所得学豆为零的概率;
(2)设该选手所得学豆总数为,求的分布列与数学期望.
二.
已知在中,D是AB上一点,的外接圆交BC于E,.
(1)求证:;
(2)若CD平分,且,求BD的长.

——
好家伙,四块黑板加上空出来了答题的部分这占的是满满当当啊
王九龙好,大家看到了黑板上的题目了吧
王九龙我现在会找人来写出答案,有没有毛遂自荐的
班里没有一个人出声,除了江曌,每一个人脸上都挂着些许不安,有的人在祈祷,祈祷不要选中自己
王九龙没有人吗,那我就叫人了哦
王九龙郭世安
王九龙你来,不光写出来,在写的同时还要讲出你的思路
江曌的面部表情没什么变化,径直的走向了讲台
她知道这孙子绝对是在故意刁难她
走到了讲台,拿起了粉笔就在黑板上一顿输出
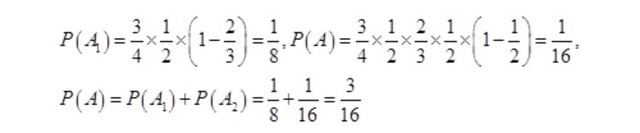
江曌(郭世安)(1)设甲“第一关闯关成功且所得学豆为零”为事件,“第一关闯关成功第二关闯关失败”为事件,“前两关闯关成功第三关闯关失败”为事件,则互斥

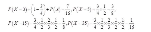
江曌(郭世安)X所有可能的取值为0,5,15,35

江曌(郭世安)所以X的分布为

江曌(郭世安)EX=零乘以十六分之四+五乘以八分之之三+十五乘以八分之一+三十五乘以十六分之一=十六分之九十五
第一大题被江曌解出来了
又走向了第二大题的板块
王九龙好了!
王九龙回去吧!
江曌也没说什么,转身走了回去
突然想起了什么的江曌转过身来对着王九龙说了句
江曌(郭世安)高三的题,超纲了
把粉笔往桌子上一扔,然后转身潇洒的回到了自己的座位上
王九龙确实是高三的题,是我疏忽了,不过我看郭世安同学连高三的题都会解了,那怎么还在高二呢?你可以去找校长申请跳级的
江曌(郭世安)。。。你管我,你话好多,不上课了吗?
江曌觉得这群高中生都够无语的了,没想到啊,原来老师更加无语!
全班人都不敢呼吸了,但他们都是同一个想法“郭世安能处,有事儿她真上,有题她真解,有老师她真怼!”
这让全班同学都对她有了改观
王九龙也不气馁
王九龙[咱们啊~来日方长!]
王九龙好,那这段小插曲就跳过了啊,我们继续来讲
——
下午的课程很快就上完了
这对于江曌来说就很轻松
放学了,要回家了
江曌走到了校门口
看到的不是郭麒麟的车而是王九龙的车
王九龙上来!
江曌坐了上去
这没有让江曌意外反而在预料之中
王九龙看“郭世安”上了车就打着了车开向了玫瑰园
王九龙你,真的是她吗?
王九龙问到
江曌(郭世安)我失忆了
王九龙别拿搪塞你哥的借口来搪塞我
江曌不在说话
王九龙说话,你是不是她
江曌(郭世安)这么直接?
江曌挑挑眉
王九龙不然呢?
江曌(郭世安)没有不然
江曌(郭世安)我只是想说,我喜欢这个性子
王九龙哦
王九龙诶!不对!别给我跑偏话题!
江曌(郭世安)开车还是不要说话的好,会分神
王九龙不在说话
他又吃瘪了......
江曌闭目养神起来
心里却还在想着
江曌(郭世安)[不愧是老师啊,心思缜密]
江曌(郭世安)[比我想象的要快啊~]
王九龙[你等着的!来日方长!]
王九龙一直在用“来日方长”给自己灌输理由
——
——
——
未完待续......