[搜索]
[菜单]
首页
分类
收藏
写作
我的
书架
登录
智笔写作
写作福利
写作后台
首页
分类
手机版
话本小说网
>
明星同人小说
>
CL的书评铺子(有偿)
本书标签:
明星同人
书评铺
长评小铺
写书评
原创
出单《胡春杨:无间狱2》
CL的书评铺子(有偿)
月下仙人本仙
2022-04-16
CL的书评铺子(有偿)
无间狱,人无远虑,必有近忧。
CL
CL
CL
CL
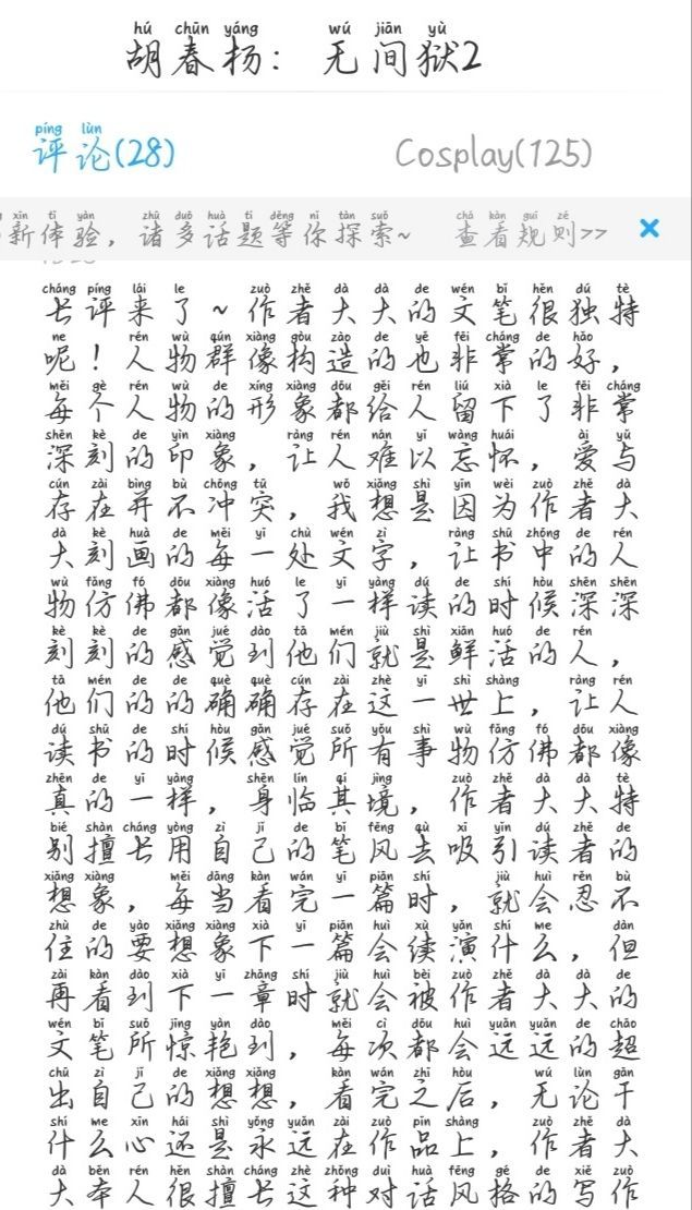
已出单,下单300字,总出单367字!
CL
感谢!祝书火!
L
这是第一单呐!现在想想还稍稍的有点怀念
上一章 出单:快穿:听说我成了白月光
CL的书评铺子(有偿)最新章节
下一章 出单《人间与炼狱》
作者福利
|
签约标准