[搜索]
[菜单]
首页
分类
收藏
写作
我的
书架
登录
智笔写作
写作福利
写作后台
首页
分类
手机版
话本小说网
>
明星同人小说
>
CL的书评铺子(有偿)
本书标签:
明星同人
书评铺
长评小铺
写书评
原创
出单《众生腐朽》
CL的书评铺子(有偿)
月下仙人本仙
2022-04-28
CL的书评铺子(有偿)
CL
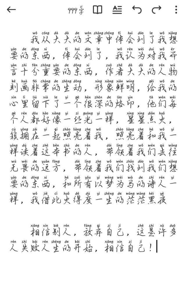
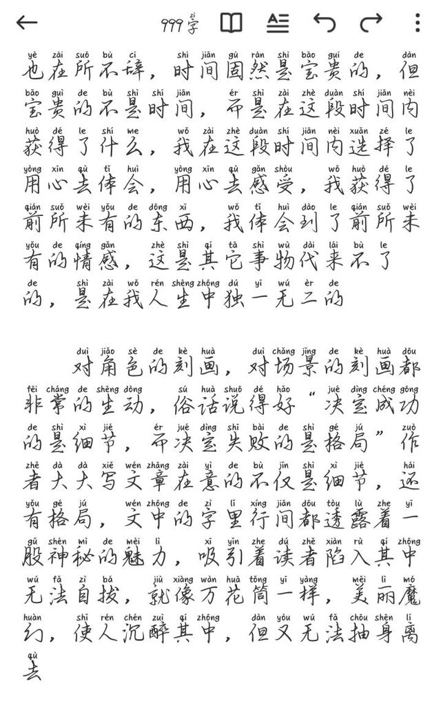
下单999字,出单999字,不要说我卡字因为这个必须卡!
CL
妈妈!累死我!
CL
天老爷爷嘞!还得接着忙下一个!
上一章 出单《鑫有黎鑫,前程似锦》
CL的书评铺子(有偿)最新章节
下一章 出单:《全明星:回家啦》
作者福利
|
签约标准