晨光轻柔地穿透窗帘的缝隙,如同细语般拂过工藤羽汐的脸庞。她缓缓睁开双眼,思绪仍萦绕在昨夜的美好回忆之中。七夕之夜,那份独有的温馨与甜蜜,让这一夜成为了她生命里最为珍贵的记忆
工藤羽汐轻柔地套上了那身熟悉的校服,站在镜前,她的指尖轻轻拂过发梢,将每一缕青丝都细心地归置整齐,嘴角不经意间勾勒出一抹恬淡的笑意。晨光透过窗帘的缝隙洒落在她身上,为这份宁静平添了几分温馨。洗漱完毕后,她步入厨房,动作娴熟地为自己准备了一份简单却营养均衡的早餐——一片烤得金黄酥脆的吐司搭配着一杯温热的牛奶,空气中弥漫着家的味道
与此同时,黑羽快斗伫立在工藤宅邸的大门前,身着整洁的校服,手中轻握着一束雅致的蓝玫瑰,正准备给羽汐送上一份意外之喜。他抬腕瞥了一眼手表,时间分毫不差,他知道羽汐即将现身,心中不禁泛起一丝期待与喜悦
工藤羽汐享用完自制的早餐后,仔细整理好书包,踏出了家门。刚一出门,便看见了黑羽快斗,他正带着温暖的笑容,轻盈地向她挥手致意
工藤羽汐斗子,你怎么在这里?
黑羽快斗汐儿,早上好!我想和你一起去学校,顺便给你带了这个。
说着,他轻轻地将手中的蓝玫瑰呈上,那花瓣仿佛蕴含着夜空的深邃与星辰的闪耀

工藤羽汐轻轻地接过那束蓝玫瑰,她的笑容如春日暖阳般,在脸上绽放得更加灿烂夺目
工藤羽汐
工藤羽汐谢谢你,斗子,这束蓝色的玫瑰真美!
黑羽快斗你的笑容更美。准备好了吗?我们走吧。
工藤羽汐好!
并肩而行在通往学校的路上,晨光如细雨般洒落在二人身上,为这份静谧的时光镀上了一层温暖的金边。周遭的一切仿佛都被这份和谐所感染,空气中弥漫着淡淡的宁静与美好
工藤羽汐昨夜星辰璀璨,斗子,感谢你赠予我这份难忘的七夕记忆。
黑羽快斗只要能看到你的笑容,我的心中便充满了欢喜。汐儿,愿为你守护这份宁静美好,无论是银河璀璨的七夕之夜,还是往后平凡却珍贵的每一天,我都会坚定地站在你的身旁。
工藤羽汐我相信你,斗子。
在这晨光轻洒的时刻,两人的对话流淌着丝丝温馨与无间信任。这份情谊仿佛被初升的太阳温柔地拥抱,于不经意间愈发深厚,让旁观者亦能感受到其中暖意融融
不久后,他们抵达了校园。随着两人的身影一同步入教室,周围的同学都不由自主地投来了一道道或羡慕、或好奇的目光
万能的角色同学A:哇,小汐学姐和快斗看起来好配啊!
万能的角色同学B:是啊,他们昨晚肯定过了一个很棒的七夕。
工藤羽汐与黑羽快斗相视而笑,两人之间的默契与幸福感仿佛化作一股暖流,悄然间温暖了周遭每一个人的心房
随着上课铃声清脆地响起,教室里顿时如退潮般恢复了平静。同学们纷纷回到自己的座位上,目光汇聚在前方的讲台上,静待老师的到来。而黑羽快斗,因昨晚活动留下的疲惫,眼皮不禁变得沉重起来,意识也渐渐模糊,在这本该专心致志的时刻,不自觉地陷入了浅眠之中
老师今天我们来学习新的章节,请大家注意听讲。
工藤羽汐动作轻盈地从快斗的书包中取出笔记本,然后全神贯注地记录起老师讲解的知识点。她小心翼翼,唯恐哪怕是最轻微的声响也会惊扰到快斗的安宁
工藤羽汐「内心独白」斗子昨晚肯定是精疲力尽了,今天就让他好好补个眠吧。
工藤羽汐(低声)我会帮你记下所有要点的。
同学们都注意到了工藤羽汐的动作,一道道充满羡慕的眼神向她汇聚而来
万能的角色同学A:小汐学姐真是个难得的好姑娘,快斗能拥有她这样的情人实在是太幸运了。
万能的角色同学B:确实,他们俩简直就是天生一对,地设一双。
叶清婉静静地坐在教室的一隅,眼中不时闪过一丝嫉恨的火花,她心中暗自盘算着接近黑羽快斗的方法
叶清婉(绿茶)『心声』黑羽快斗只能属于我!无论如何,我都要设法吸引他的注意,让他远离工藤羽汐。
工藤羽柒注意到了叶清婉的眼神,她知道这个之前新转来的女生可能不怀好意
工藤羽柒宇阳,你看那个叶清婉,她的眼神不太对劲。
藤原宇阳嗯,我会注意的。我们得保护好小汐和快斗。
一节课结束后,黑羽快斗终于醒来,他揉了揉眼睛,看到了工藤羽汐为他记的笔记
黑羽快斗汐儿,你帮我记笔记了?
工藤羽汐你昨晚很累,我想让你多休息一会儿。
黑羽快斗谢谢你,汐儿。有你在,我真的很幸福。
工藤羽汐站起身,准备去小卖部
工藤羽汐我去给你买罐咖啡,提提神。
快斗微笑着点头,心中充满了感激
工藤羽汐的宠物猫小白也注意到了叶清婉的眼神,它轻轻地走到工藤羽汐的脚边,仿佛在提醒她
小白(羽汐的猫)喵~(仿佛在说:注意那个女生。)
工藤羽汐知道啦,小白。
离开了教室,去小卖部给黑羽快斗买咖啡去了
星曦(羽汐的守护者)(心想)我得保护好主人,不能让她受到任何伤害。
不久后,工藤羽汐拿着咖啡回来了,她递给快斗
工藤羽汐
工藤羽汐斗子,喝点咖啡,提提神吧。
黑羽快斗谢谢你,汐儿。
快斗打开咖啡,喝了一口,感觉精神了许多
叶清婉看着他们,嫉妒心越来越强。她决定要采取行动,但她不知道,她的一举一动都在工藤羽柒和藤原宇阳的监视之下
叶清婉(绿茶)(心里想)我一定要找到机会,让黑羽快斗成为我的。
一上午的课程结束后,午餐时间到了。同学们纷纷离开教室,向食堂走去。黑羽快斗和工藤羽汐也不例外,他们找到了一个靠窗的好位置
黑羽快斗汐儿,你先坐这里,我去打饭。
工藤羽汐好的,斗子,你快点回来。
工藤羽汐坐在位置上,小白跳上她的腿,享受着她的抚摸。星曦则坐在羽汐的肩膀上,警惕地观察着周围
叶清婉看到工藤羽柒和藤原宇阳离开,感到机会来了。她决定利用这个时机让工藤羽汐出丑
叶清婉(绿茶)(内心)哼,现在没有人保护你了,工藤羽汐,看你怎么办。
她轻手轻脚地拿起一只充盈着清水的气球,屏息敛声地靠近工藤羽汐的座位
小白感觉到了不对劲,它抬起头,用疑惑的眼神看着叶清婉
小白(羽汐的猫)喵~(感觉到了危险)
星曦也注意到了叶清婉的行动,她变小,悄无声息地飞到叶清婉的身边
星曦(羽汐的守护者)(心想)这个女生不怀好意,我得小心。
绫斗作为黑羽快斗的守护者,也注意到了星曦的行动。他变小,跟在星曦的后面,准备随时保护她
绫斗(快斗的守护者)(内心)星曦,放心吧,我会守护着你,不必担忧。
趁着混乱之际,叶清婉猛地将手中的水气球掷向工藤羽汐。然而,在这关键时刻,星曦身形骤然放大,她调动着体内蕴藏的力量,轻巧地将飞来的气球弹了回去。只听“砰”的一声,水气球在叶清婉身旁炸开,水珠如同细雨般洒落四周,空气中弥漫起了一阵清凉的水雾
星曦(羽汐的守护者)哼!想伤害我的主人?痴心妄梦!
叶清婉猝不及防之下,被突然炸开的水气球浇了个通透,瞬间湿漉漉的衣裳紧贴在身上。这份突如其来的“洗礼”让她显得有些手足无措,脸上满是错愕与不知所措的表情,这一幕很快便吸引了周围同学们的目光
同学们哇,叶清婉怎么了?
叶清婉(绿茶)啊,我…我只是不小心滑倒了。
黑羽快斗打饭回来,看到叶清婉的窘态,但他并没有多问,只是关心地看着工藤羽汐
黑羽快斗汐儿,你没事吧?
工藤羽汐我没事,斗子。我们快吃饭吧,我都饿了。
享用起午餐来,二人全然未受先前小插曲的影响,氛围轻松愉悦,美食在侧,一切仿佛都被那股温馨的气息所治愈
黑羽快斗汐儿,看看这阳光,多适合散步啊。
工藤羽汐的确如此,斗子,与你一同漫步,我的心境都变得格外宁静而美好。
与此同时,在教室的一隅,叶清婉正悄无声息地播撒着关于工藤羽汐的流言蜚语。她的每一句话都如同细针,悄然无息地刺入同学们的心间,试图在这平静的湖面上激起层层波澜
叶清婉(绿茶)你们知道吗?工藤羽汐其实很自私,总是利用别人。
同学们的心中显然并未被叶清婉的话语所触动,反而激起了一阵阵不满的涟漪。他们毫不掩饰自己的情绪,一句句指责如箭矢般向她袭来
万能的角色同学A: 叶清婉,你这是在瞎说什么?小汐学姐人很好。
万能的角色同学B:就是,你这是在没事找事。
工藤羽优的眼神骤然变得锐利起来,他毫不掩饰地向叶清婉发出直接而严肃的警告
工藤羽优叶清婉,听好了,要是你胆敢继续诽谤我的姐姐,绝对不会有你好受的。
当工藤羽汐与黑羽快斗结束散步归来,并未直接步入教室,而是选择静静地伫立于窗外。他们的眼眸凝视着教室内上演的一幕幕闹剧,彼此间流露出微妙而复杂的神情
工藤羽汐斗子,你看叶清婉那样,真是自寻烦恼。
黑羽快斗是啊,哈哈,看她的模样,确实令人发笑。
黑羽快斗一边吃着雪糕,一边欣赏着叶清婉的社死现场
黑羽快斗汐儿,来尝一口如何?这冰凉甜美的雪糕真是美味无比。
工藤羽汐好啊,你喂我。
两人沉浸在甜蜜之中,手中的雪糕成了共享的甜蜜秘密,他们丝毫未察觉到叶清婉的尴尬与不自在
察觉到情势对自己不利,汪楚嫣连忙找了个借口,悄然离开了教室
叶清婉(绿茶)(压低了声音)我...我忽然觉得有些不适,先行告退了。
见叶清婉仓皇逃开的模样,工藤羽汐与黑羽快斗不禁相视而笑,空气中弥漫着轻松愉悦的气息。两人的笑声如同清脆的铃声,在这瞬间交织成了一曲欢快的乐章
工藤羽汐哈哈哈,斗子,你看她那慌张的样子。
黑羽快斗太逗了,汐儿,她这是自作自受。
在两人欢畅的笑声里,空气中仿佛弥漫着丝丝甜蜜,那不经意间流露出的情愫,如同撒向四周的温馨狗粮,让人感受到满满的幸福气息
黑羽快斗汐儿,你的笑容如同春风拂面,让人心旷神怡。
工藤羽汐斗子,你这是在撩我吗?
黑羽快斗哈哈,这么快就被你识破啦。
下午的课程开始了,老师走进教室,注意到叶清婉的座位空着
老师今天叶清婉同学怎么没来?有谁知道她去哪了吗?
班级里静悄悄的,同学们互相看了看,都摇了摇头
万能的角色同学A:老师,我们也不知道她去哪了。
老师好吧,如果有人知道她的情况,请转告她来办公室找我。现在,我们开始上课。
老师打开数学书,准备讲解高二的数学内容
老师今天我们要学习的是微积分的基础,首先我们来了解导数的概念。
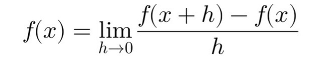
老师在黑板上写下了导数的定义:

老师谁能告诉我,这个极限表示的是什么?
同学们开始思考,老师随机点了一个学生
万能的角色被点名的同学:这表示函数在某一点处的切线斜率。
老师满意地点了点头,然后继续讲解,并在黑板上出了一道例题
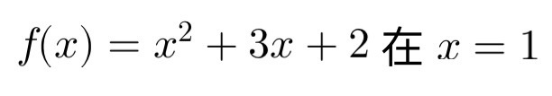
老师现在,我们来看这个例题,求函数 f(x) = x^2 + 3x + 2 在 x = 1 处的导数。

老师环视教室,寻找愿意上黑板解题的学生
老师工藤羽汐同学,你能上来试试吗?
工藤羽汐(走上讲台)好的老师
工藤羽汐首先,我们需要找到函数的导数公式,这里是 f(x) = 2x + 3 。然后我们将 x = 1 代入,得到 f(1) = 2(1) + 3 = 5 。
工藤羽汐提起手中的粉笔,在黑板上流畅而有力地勾勒出解题的每一步骤,每一个符号都显得格外清晰,仿佛她的每一次书写都能引领着同学们穿越数学的迷雾,直达答案的彼岸
随着课程的缓缓落幕,老师开始布置起家庭作业。学生们的心思似乎早已飞向了即将到来的闲暇时光,但每个人还是尽力收敛心神,仔细聆听老师的每一句话,生怕漏掉了什么重要事项
老师今天的作业是练习册的第15页,第1到第5题。请大家认真完成,下节课我们将进行讲解。
放学的铃声悠扬地响起,同学们纷纷从座位上站起,开始细心地整理书包,准备踏上归家的路途
工藤羽汐与黑羽快斗并肩走出校园,踏上归途。午后温暖的阳光穿透树梢间的缝隙,轻柔地洒落在两人身上,形成一片片斑驳陆离的光影,仿佛为这段平凡的放学时光添上了一抹不寻常的色彩
工藤羽汐斗子,你今天课上听懂了吗?我觉得那个导数的概念挺有趣的。
黑羽快斗嗯,我也觉得。尤其是你上黑板解题的时候,思路特别清晰。你总是能很快抓住问题的关键。
工藤羽汐那当然,我可是有秘密武器的。
黑羽快斗哦?是什么秘密武器?
工藤羽汐就是我哥哥给我的那本数学参考书,里面有很多解题技巧。
二人一边漫步一边交谈,空气中不时飘荡着他们轻松愉悦的笑声
在归家的路上,他们路过了一家小巧精致的商店。黑羽快斗的目光不经意间被橱窗内一件奇特的物品所吸引
黑羽快斗汐儿,你看那个小挂件,是不是很可爱?
工藤羽汐是啊,挺适合挂在书包上的。我们去看看吧。
踏入商店的那一刻,黑羽快斗的目光被一只小巧玲珑的猫咪形状挂件所吸引。他轻轻将其拿起,挂件在灯光下闪烁着柔和的光芒,仿佛拥有一种说不出的魔力

黑羽快斗这个送给你,作为今天帮我解答问题的谢礼。
工藤羽汐哇,谢谢你,斗子!我正想要一个这样的挂件。
黑羽快斗就买下了这个小猫咪挂件,两人离开了小商店
工藤羽汐斗子,你放学后有什么计划吗?
黑羽快斗没什么特别的计划,不如我们一起复习一下今天的数学课内容,顺便准备一下明天的课程?
工藤羽汐听起来不错,我们可以去图书馆。
二人步入图书馆,寻觅了一处僻静的角落安顿下来,随即投入到了微积分知识的复习之中
工藤羽汐这个导数的概念,我之前一直不太明白,今天老师一讲,感觉清晰多了。
黑羽快斗是的,微积分是理解变化率的关键,无论是速度还是加速度,都可以通过它来描述。
他们互相讨论,快斗还拿出笔记本,给羽汐展示了一些额外的例题
复习了一会儿,两人开始着手做老师布置的家庭作业
工藤羽汐这些题目看起来不难,但还是要仔细计算。
黑羽快斗对,特别是这些涉及到复合函数求导的题目,容易出错。
两人认真地做题,偶尔交换一下解题思路
正当他们沉浸在学习中时,图书馆的管理员提醒即将闭馆
万能的角色图书馆管理员:同学们,图书馆将在15分钟后关闭,请尽快收拾好你们的东西。
工藤羽汐哇,时间过得真快,我们得快点做完。
黑羽快斗别担心,我们动作快一点。
完成了作业,两人收拾好东西,一同走出图书馆
离开图书馆后,工藤羽汐轻抚着肚子,向黑羽快斗透露了自己的小饥饿
工藤羽汐斗子,我突然觉得有点饿了,怎么办?
黑羽快斗附近有家蛋糕店很不错,我们去那里吃点甜点怎么样?
工藤羽汐听起来很棒!我喜欢甜点。
黑羽快斗与工藤羽汐步入蛋糕店,迎接他们的,是店内那柔和而温馨的灯光,以及空气中弥漫着的甜美香气
在蛋糕店温馨的灯光下,黑羽快斗与工藤羽汐并肩立于展示柜前,仔细挑选着各自心仪的甜点。柜台内,各式精致的蛋糕如同艺术品般排列着,每一道细腻的奶油纹路、每一颗晶莹的果粒,都在无声地诉说着甜蜜的故事
黑羽快斗我要点他们家的招牌巧克力蛋糕,你呢?
工藤羽汐我要一份草莓蛋糕,看起来太诱人了。
点罢餐后,他们选了一个临窗的位置落座,静谧的傍晚时光如同一幅温柔的画卷,在两人面前缓缓铺开
服务员很快将甜点端了上来,黑羽快斗的巧克力蛋糕散发着浓郁的香气,而工藤羽汐的草莓蛋糕上鲜红的草莓和奶油让人垂涎欲滴


工藤羽汐哇,这草莓蛋糕太美了,我都有点舍不得吃了。
黑羽快斗哈哈,享受美食也是生活的一大乐趣,不用客气。
两人缓缓将甜点送入口中,细腻绵密的滋味如晨间露珠般在味蕾上轻轻绽放,那份甜蜜沿着舌尖一路蔓延,仿佛春日里细雨滋润着干涸的心田,带来了一抹难以言喻的温馨与满足
享用完甜点后,工藤羽汐主动站起身,迈步走向收银台结账
工藤羽汐今天我请客,谢谢你带我来这么棒的蛋糕店。
黑羽快斗你太过客气了,汐儿。能与你共度这段时光,我已感到无比欢欣。
万能的角色服务员:一共是2000日元。
工藤羽汐好的,这是2000日元。
付完款后,两人离开了蛋糕店,夜色已经降临,街道两旁的路灯亮起,营造出一种浪漫的氛围
黑羽快斗汐儿,今晚的夜色真美,和你一起走在这里,感觉特别浪漫。
工藤羽汐是啊,斗子,与你共度的每一分、每一秒,都如同细碎的幸福洒满了我的心间。
两人慢慢走在回家的路上,夜色中,他们的影子时而拉长,时而缩短。甜点带来的甜蜜和彼此的陪伴让这个晚上变得格外美好。他们谈论着未来的计划,分享着彼此的梦想,而这个共同度过的甜蜜时刻,将会成为他们记忆中宝贵的一部分

寒夜(作者)本章到此结束!
寒夜(作者)在即将到来的篇章里,我们暂且话别,待到下回相逢,再续精彩!

